Официальное опубликование правовых актов
ОФИЦИАЛЬНОЕ ОПУБЛИКОВАНИЕ
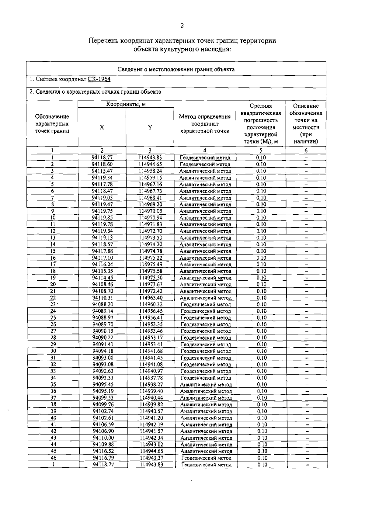
Распоряжение Комитета по государственному контролю, использованию и охране памятников истории и культуры Санкт-Петербурга от 12.07.2024 № 931-рп
"Об утверждении границ и режима использования территории объекта культурного наследия федерального значения "Главный корпус торгового дома "Братья Елисеевы"
(Зарегистрирован 15.07.2024 № 48408)
Номер опубликования: 7801202407180009
Дата опубликования: 18.07.2024
Страница №4 из 5:
Увеличить