Официальное опубликование правовых актов
ОФИЦИАЛЬНОЕ ОПУБЛИКОВАНИЕ
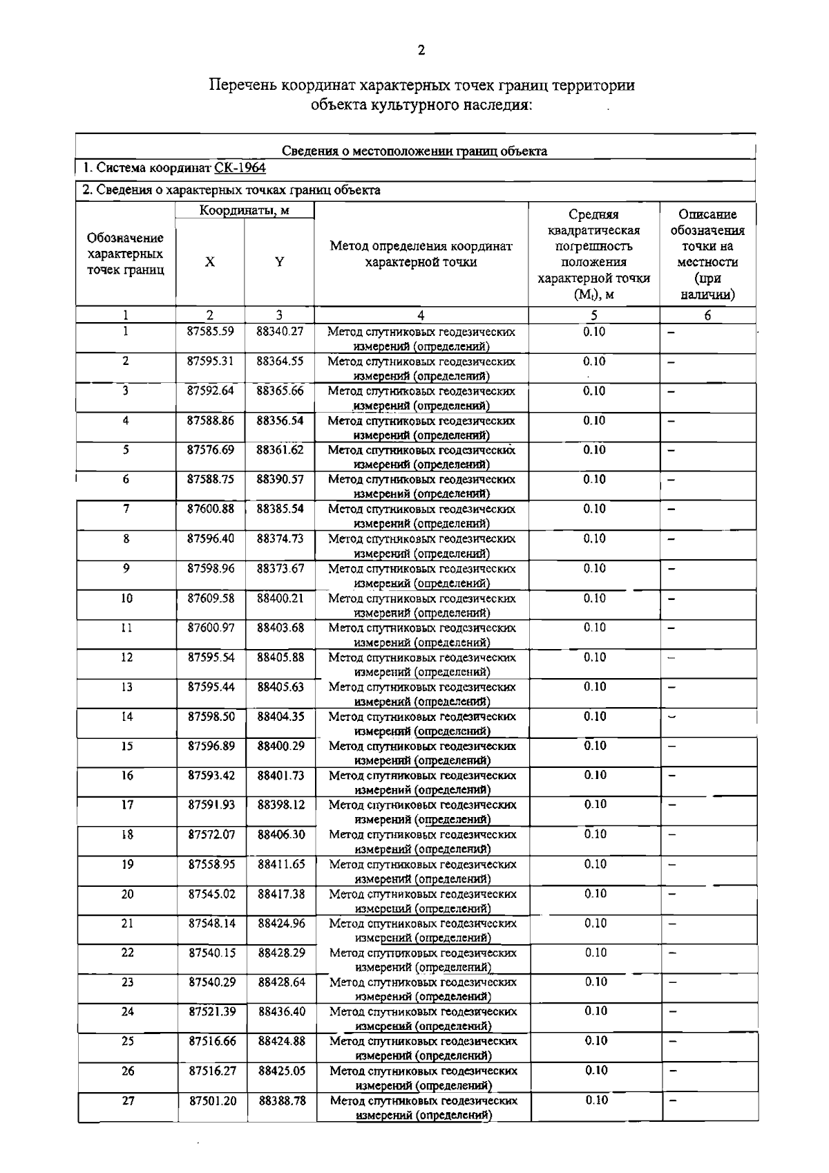
Распоряжение Комитета по природопользованию, охране окружающей среды и обеспечению экологической безопасности Санкт-Петербурга от 23.05.2024 № 682-рп
"Об утверждении границ и режима использования территории объекта культурного наследия регионального значения "б. Здание Уездных присутственных мест"
(Зарегистрирован 24.05.2024 № 47910)
Номер опубликования: 7801202405290015
Дата опубликования: 29.05.2024
Страница №4 из 6:
Увеличить