Официальное опубликование правовых актов
ОФИЦИАЛЬНОЕ ОПУБЛИКОВАНИЕ
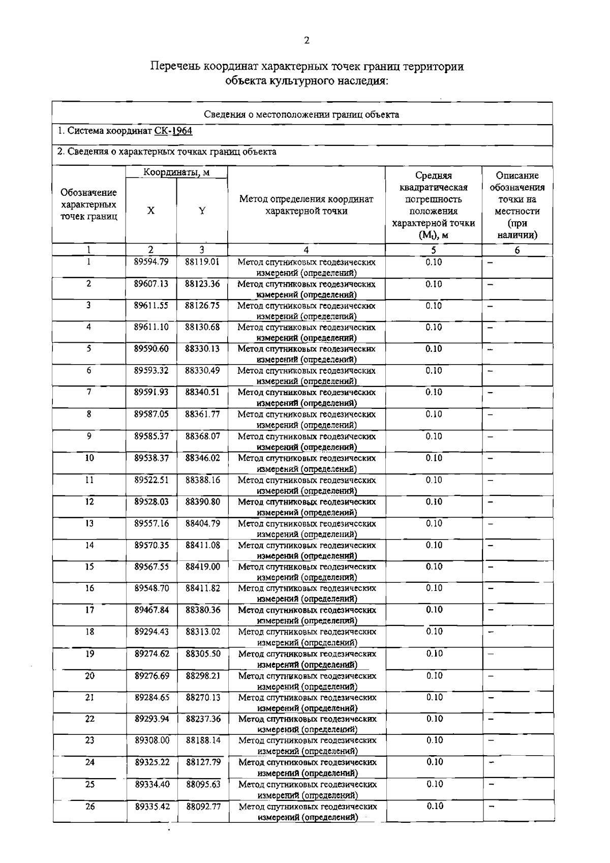
Распоряжение Комитета по государственному контролю, использованию и охране памятников истории и культуры Санкт-Петербурга от 23.05.2024 № 670-рп
"Об утверждении границ и режима использования территории объекта культурного наследия регионального значения "Дача Л.И. Крона"
(Зарегистрирован 24.05.2024 № 47898)
Номер опубликования: 7801202405290005
Дата опубликования: 29.05.2024
Страница №4 из 6:
Увеличить