Официальное опубликование правовых актов
ОФИЦИАЛЬНОЕ ОПУБЛИКОВАНИЕ
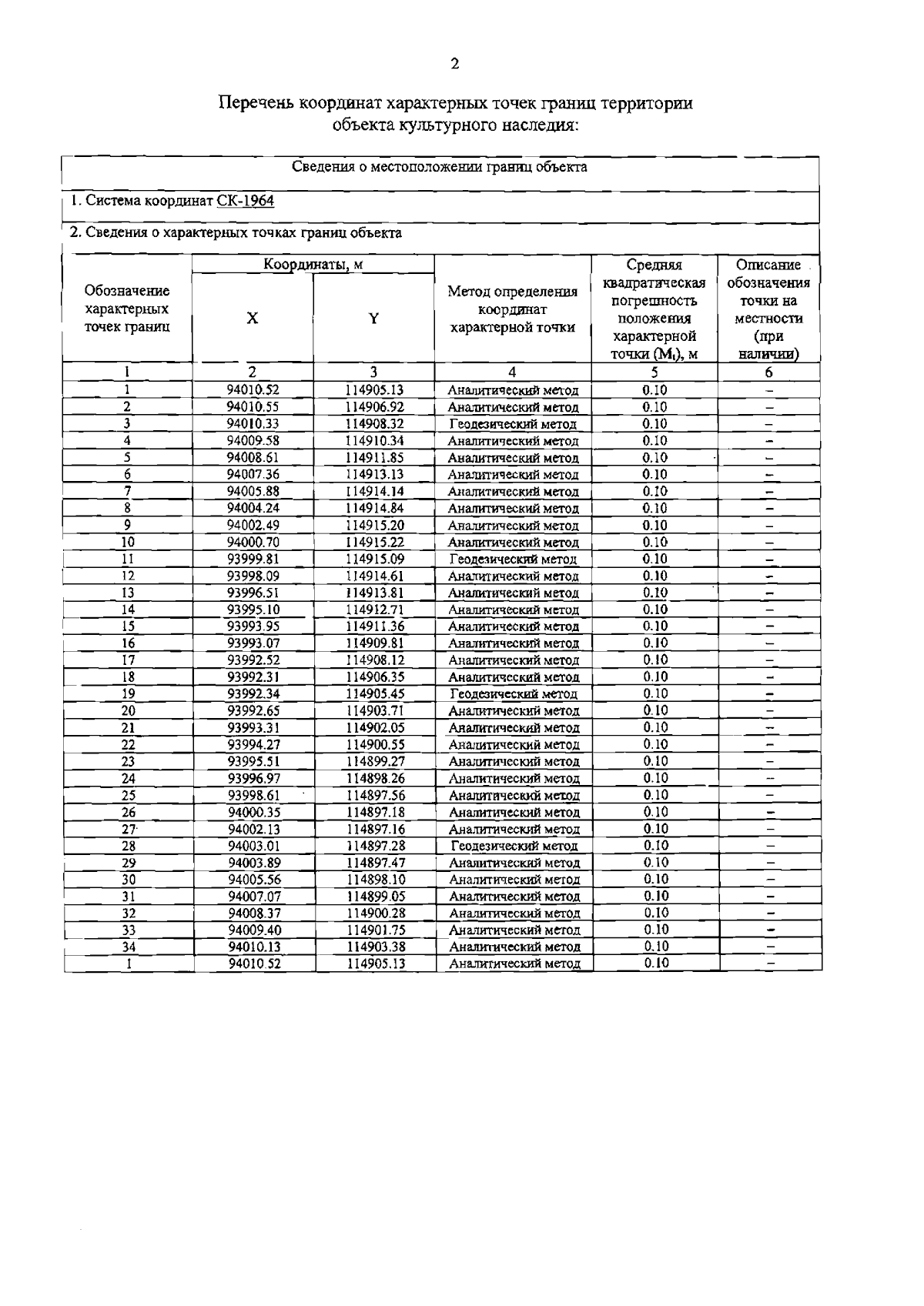
Распоряжение Комитета по государственному контролю, использованию и охране памятников истории и культуры Санкт-Петербурга от 22.05.2024 № 664-рп
"Об утверждении границ и режима использования территории объекта культурного наследия федерального значения "Памятник императрице Екатерине II"
(Зарегистрирован 22.05.2024 № 47874)
Номер опубликования: 7801202405270020
Дата опубликования: 27.05.2024
Страница №4 из 5:
Увеличить