Официальное опубликование правовых актов
ОФИЦИАЛЬНОЕ ОПУБЛИКОВАНИЕ
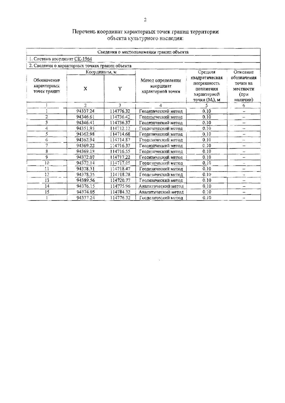
Распоряжение Комитета по государственному контролю, использованию и охране памятников истории и культуры Санкт-Петербурга от 12.04.2024 № 486-рп
"Об утверждении границ и режима использования территории объекта культурного наследия федерального значения "Дом Виельгорского М.Ю."
(Зарегистрирован 15.04.2024 № 37545)
Номер опубликования: 7801202404180004
Дата опубликования: 18.04.2024
Страница №4 из 5:
Увеличить