Официальное опубликование правовых актов
ОФИЦИАЛЬНОЕ ОПУБЛИКОВАНИЕ
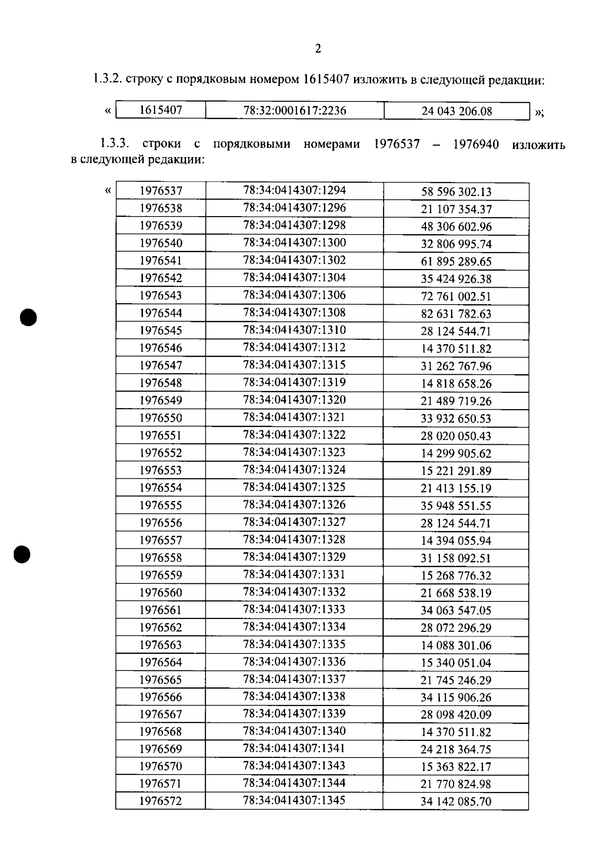
Приказ Комитета имущественных отношений Санкт-Петербурга от 04.04.2024 № 54-п
"О внесении изменений в приказ Комитета имущественных отношений Санкт-Петербурга от 09.11.2023 № 199-п"
(Зарегистрирован 05.04.2024 № 37451)
Номер опубликования: 7801202404100005
Дата опубликования: 10.04.2024
Страница №2 из 12:
Увеличить