Официальное опубликование правовых актов
ОФИЦИАЛЬНОЕ ОПУБЛИКОВАНИЕ
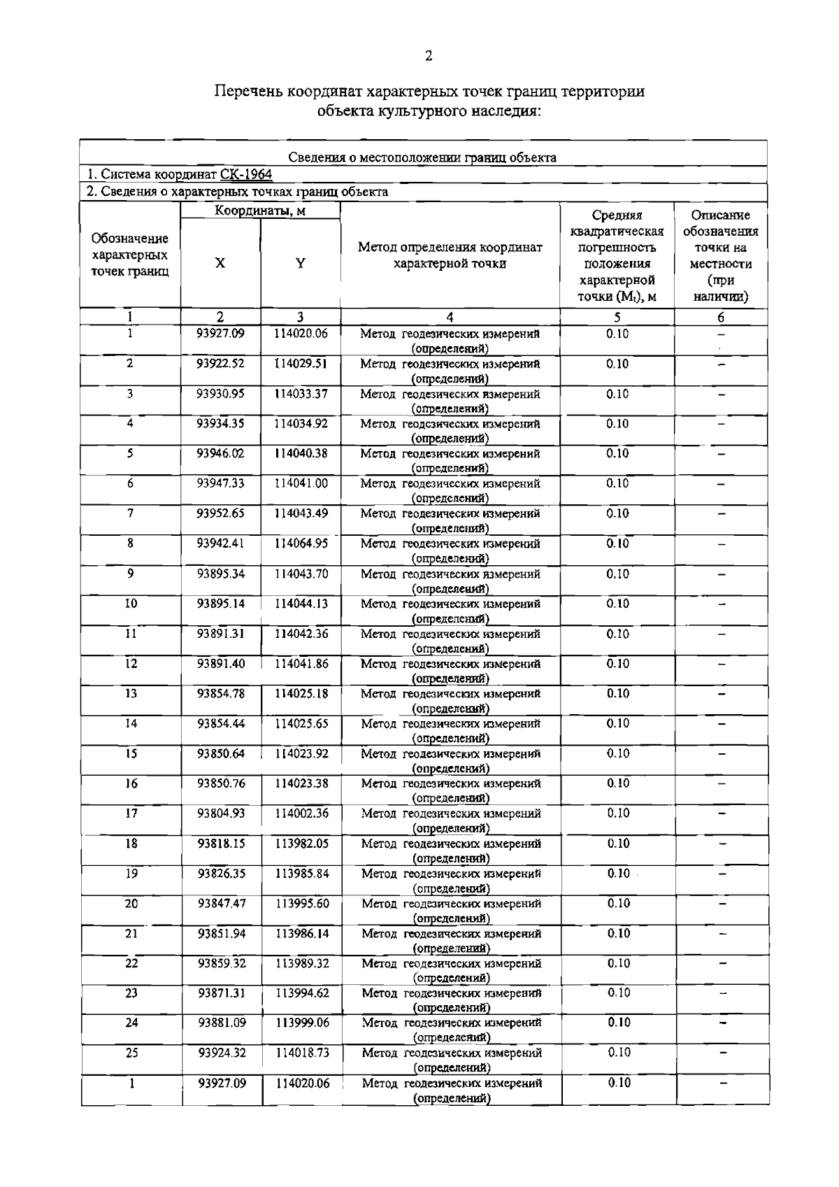
Распоряжение Комитета по государственному контролю, использованию и охране памятников истории и культуры Санкт-Петербурга от 19.03.2024
"Об утверждении границ и режима использования территории объекта культурного наследия регионального значения "Опекунский совет"
(Зарегистрирован 22.03.2024 № 37334)
Номер опубликования: 7801202403270001
Дата опубликования: 27.03.2024
Страница №4 из 5:
Увеличить