Официальное опубликование правовых актов
ОФИЦИАЛЬНОЕ ОПУБЛИКОВАНИЕ
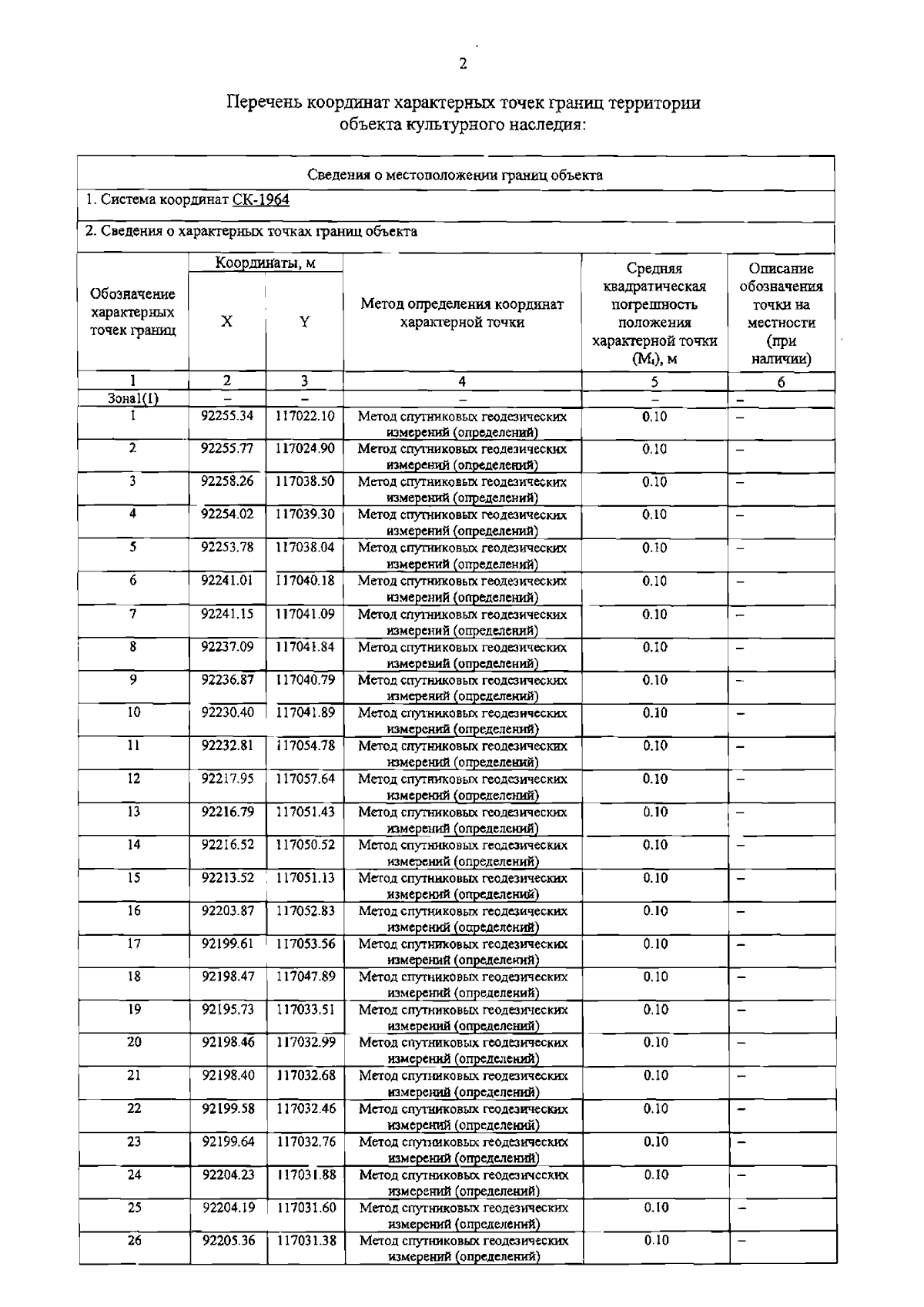
Распоряжение Комитета по государственному контролю, использованию и охране памятников истории и культуры Санкт-Петербурга от 19.03.2024 № 333-рп
"Об утверждении границ и режима использования территории объекта культурного наследия регионального значения "Центральная электростанция городского трамвая с водокачальней"
(Зарегистрирован 19.03.2024 № 37297)
Номер опубликования: 7801202403220021
Дата опубликования: 22.03.2024
Страница №4 из 8:
Увеличить