Официальное опубликование правовых актов
ОФИЦИАЛЬНОЕ ОПУБЛИКОВАНИЕ
Распоряжение Комитета по государственному контролю, использованию и охране памятников истории и культуры Санкт-Петербурга от 05.03.2024 № 259-рп
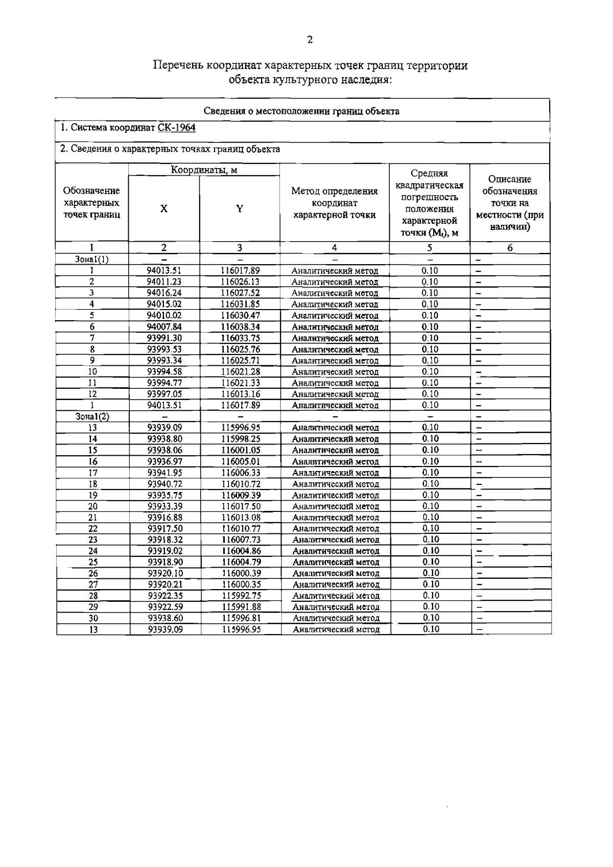
"Об утверждении границ и режима использования территории объекта культурного наследия регионального значения "Дом, где в помещении конторы и редакции легального большевистского журнала "Вестник жизни" в 1906-1907 гг. бывал Ленин Владимир Ильич (кв. 16 и 38)"
(Зарегистрирован 06.03.2024 № 37176)
Номер опубликования: 7801202403070014
Дата опубликования: 07.03.2024
Страница №4 из 5:
Увеличить