Официальное опубликование правовых актов
ОФИЦИАЛЬНОЕ ОПУБЛИКОВАНИЕ
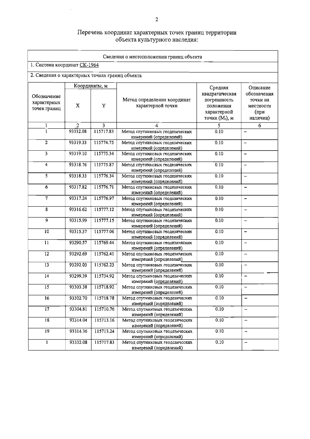
Распоряжение Комитета по государственному контролю, использованию и охране памятников истории и культуры Санкт-Петербурга от 05.03.2024 № 262-рп
"Об утверждении границ и режима использования территории объекта культурного наследия регионального значения "Высшие женские естественные курсы и гимназия Лохвицкой-Скалон М.А. Здесь проходила VII (Апрельская) конференция РСДРП(б)"
(Зарегистрирован 06.03.2024 № 37185)
Номер опубликования: 7801202403070005
Дата опубликования: 07.03.2024
Страница №4 из 5:
Увеличить