Официальное опубликование правовых актов
ОФИЦИАЛЬНОЕ ОПУБЛИКОВАНИЕ
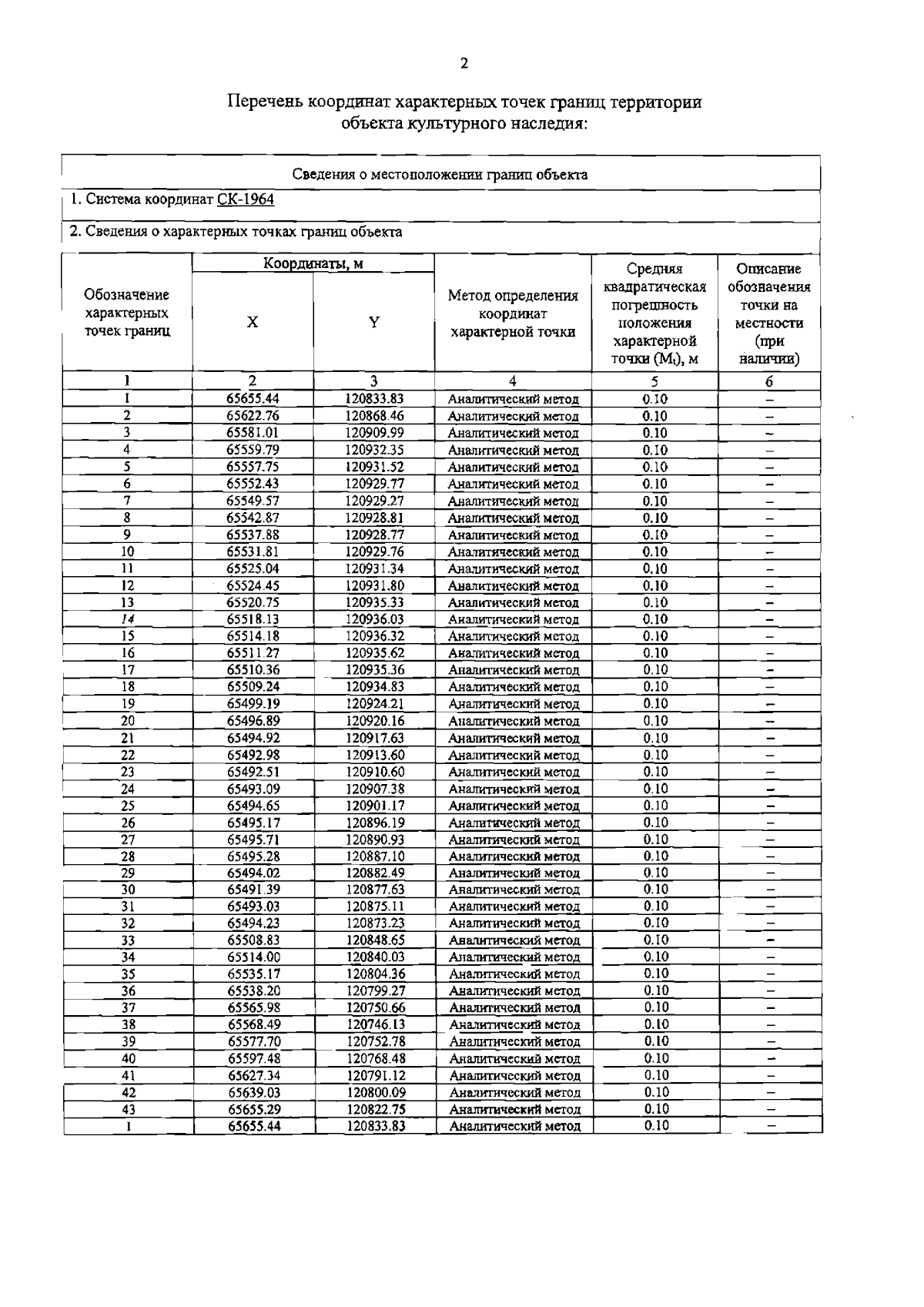
Распоряжение Комитета по государственному контролю, использованию и охране памятников истории и культуры Санкт-Петербурга от 29.02.2024 № 239-рп
"Об утверждении границ и режима использования территории объекта культурного наследия федерального значения "Дача Брюллова А.П."
(Зарегистрирован 29.02.2024 № 37114)
Номер опубликования: 7801202403060014
Дата опубликования: 06.03.2024
Страница №4 из 5:
Увеличить