Официальное опубликование правовых актов
ОФИЦИАЛЬНОЕ ОПУБЛИКОВАНИЕ
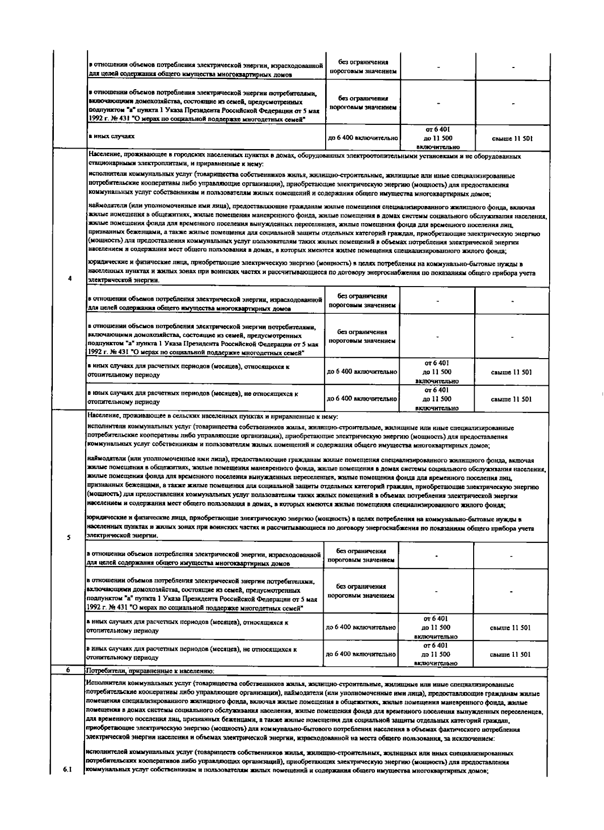
Распоряжение Комитета по тарифам Санкт-Петербурга от 28.12.2023 № 282-р
"О внесении изменений в распоряжение Комитета по тарифам Санкт-Петербурга от 29.11.2023 № 195-р"
(Зарегистрирован 29.12.2023 № 36669)
Номер опубликования: 7801202312290093
Дата опубликования: 29.12.2023
Страница №11 из 12:
Увеличить