Официальное опубликование правовых актов
ОФИЦИАЛЬНОЕ ОПУБЛИКОВАНИЕ
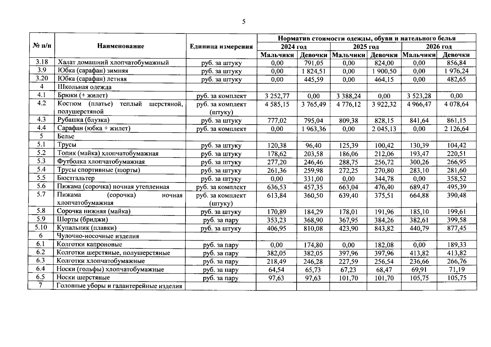
Распоряжение Комитета по экономической политике и стратегическому планированию Санкт-Петербурга от 15.11.2023 № 253-р
"Об утверждении подушевых нормативов финансирования социальных услуг на 2024 год и на плановый период 2025 и 2026 годов"
(Зарегистрирован 22.11.2023 № 36216)
Номер опубликования: 7801202311270011
Дата опубликования: 27.11.2023
Страница №32 из 37:
Увеличить