Официальное опубликование правовых актов
ОФИЦИАЛЬНОЕ ОПУБЛИКОВАНИЕ
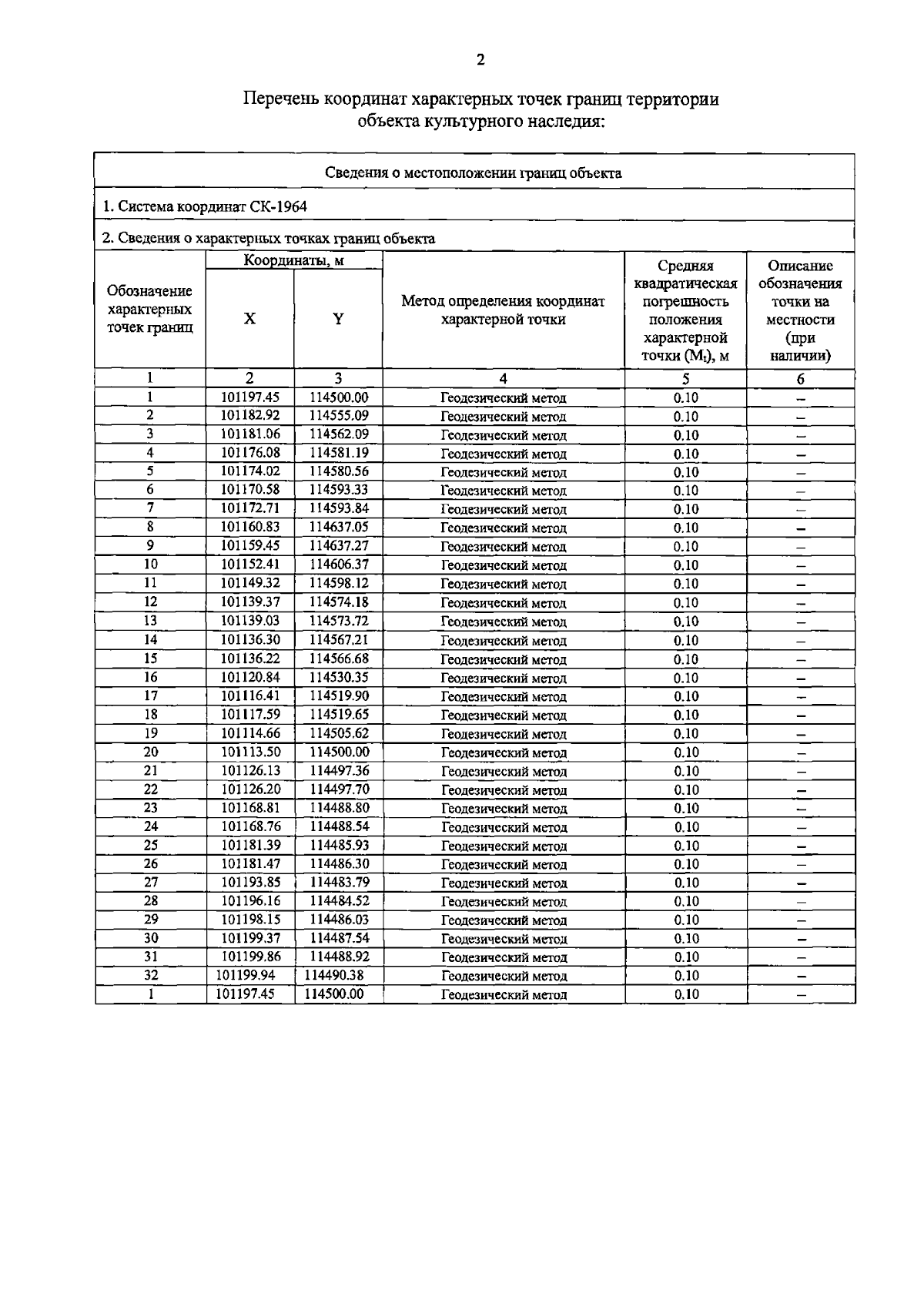
Распоряжение Комитета по государственному контролю, использованию и охране памятников истории и культуры Санкт-Петербурга от 30.08.2023 № 785-рп
"Об утверждении границ и режима использования территории объекта культурного наследия регионального значения "Орлово-Новосильцевская богадельня (Комплекс с садом и оградой, 3 флигеля)"
(Зарегистрирован 31.08.2023 № 35816)
Номер опубликования: 7801202309040010
Дата опубликования: 04.09.2023
Страница №4 из 5:
Увеличить