Официальное опубликование правовых актов
ОФИЦИАЛЬНОЕ ОПУБЛИКОВАНИЕ
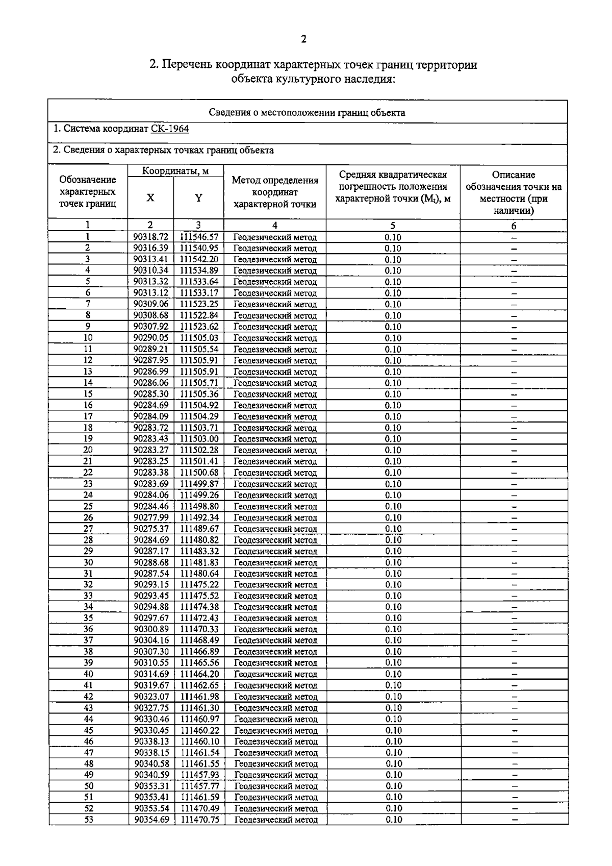
Распоряжение Комитета по государственному контролю, использованию и охране памятников истории и культуры Санкт-Петербурга от 23.08.2023 № 769-рп
"Об утверждении границ и режима использования территории объекта культурного наследия федерального значения "Дворец культуры им. Горького А.М., 1925-1927 гг., арх. Гегелло А.И., арх. Дмитриев А.И., арх. Кричевский Д.Л., инж. Райлян В.Ф."
(Зарегистрирован 24.08.2023 № 35773)
Номер опубликования: 7801202308300012
Дата опубликования: 30.08.2023
Страница №4 из 6:
Увеличить