Официальное опубликование правовых актов
ОФИЦИАЛЬНОЕ ОПУБЛИКОВАНИЕ
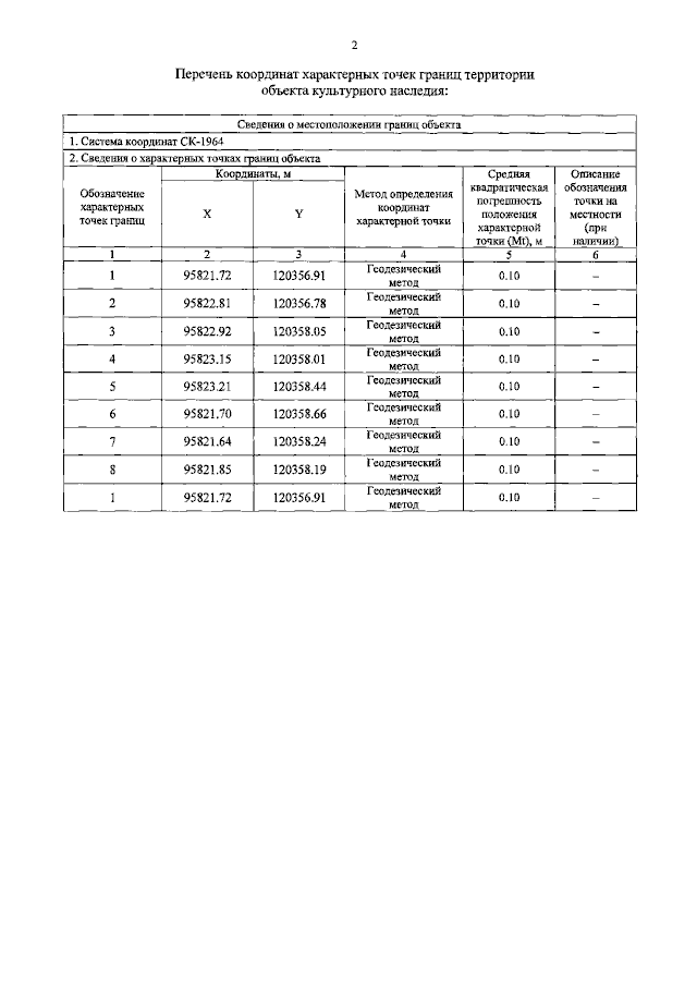
Распоряжение Комитета по государственному контролю, использованию и охране памятников истории и культуры Санкт-Петербурга от 20.07.2023 № 629-рп
"Об утверждении границ и режима использования территории объекта культурного наследия регионального значения "Могила Тарасова Анатолия Макаровича (1921-1971 г.г.)- комиссара русского батальона, участника Итальянского сопротивления"
(Зарегистрирован 21.07.2023 № 35477)
Номер опубликования: 7801202307240007
Дата опубликования: 24.07.2023
Страница №4 из 5:
Увеличить