Официальное опубликование правовых актов
ОФИЦИАЛЬНОЕ ОПУБЛИКОВАНИЕ
Распоряжение Комитета по государственному контролю, использованию и охране памятников истории и культуры Санкт-Петербурга от 23.06.2023 № 468-рп
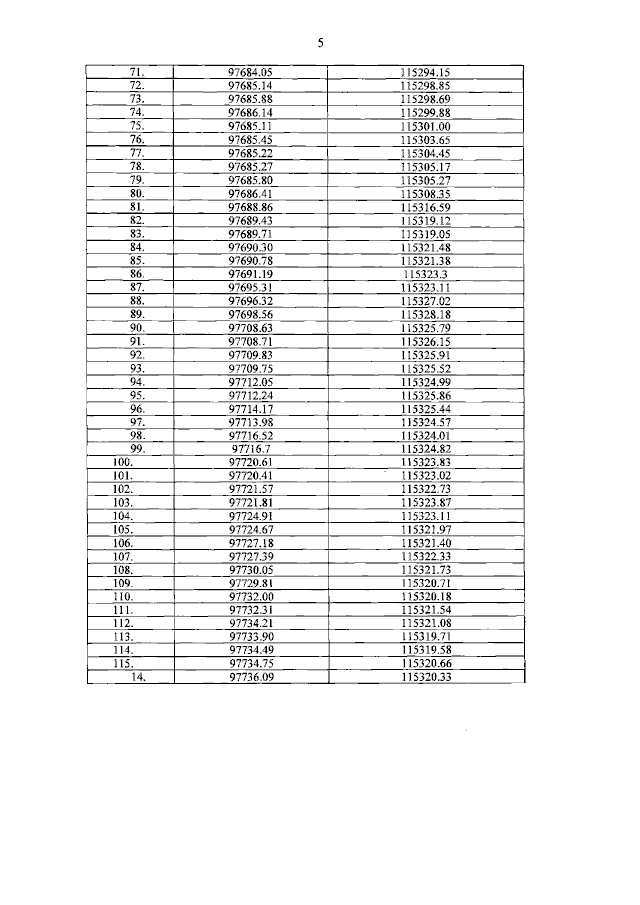
"О включении в перечень выявленных объектов культурного наследия выявленного объекта археологического наследия "Участок исторического культурного слоя Санкт-Петербурга XVIII - XIX вв. с сохранившимися историческими захоронениями" и об утверждении границ территории выявленного объекта культурного наследия"
(Зарегистрирован 26.06.2023 № 35216)
Номер опубликования: 7801202306270003
Дата опубликования: 27.06.2023
Страница №7 из 7:
Увеличить