Официальное опубликование правовых актов
ОФИЦИАЛЬНОЕ ОПУБЛИКОВАНИЕ
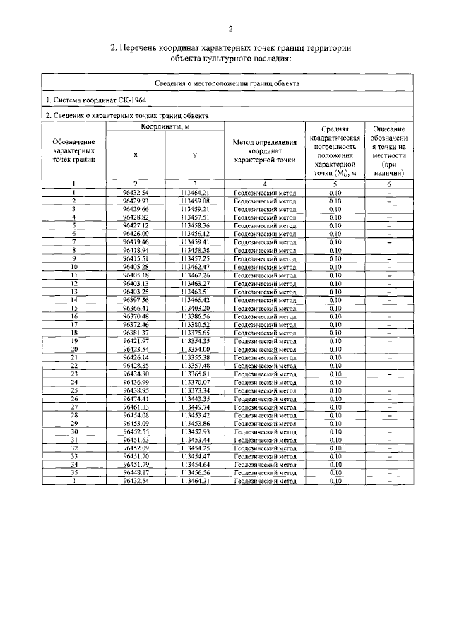
Распоряжение Комитета по государственному контролю, использованию и охране памятников истории и культуры Санкт-Петербурга от 08.06.2023 № 451-рп
"Об утверждении границ и режима использования территории объекта культурного наследия федерального значения "Народный дом, где в мае 1917 г. состоялся 1-й Всероссийский съезд крестьянских депутатов. Здесь в Оперном зале выступали певцы Собинов Л.В., Шаляпин Ф.И"
(Зарегистрирован 08.06.2023 № 35117)
Номер опубликования: 7801202306130040
Дата опубликования: 13.06.2023
Страница №4 из 5:
Увеличить