Официальное опубликование правовых актов
ОФИЦИАЛЬНОЕ ОПУБЛИКОВАНИЕ
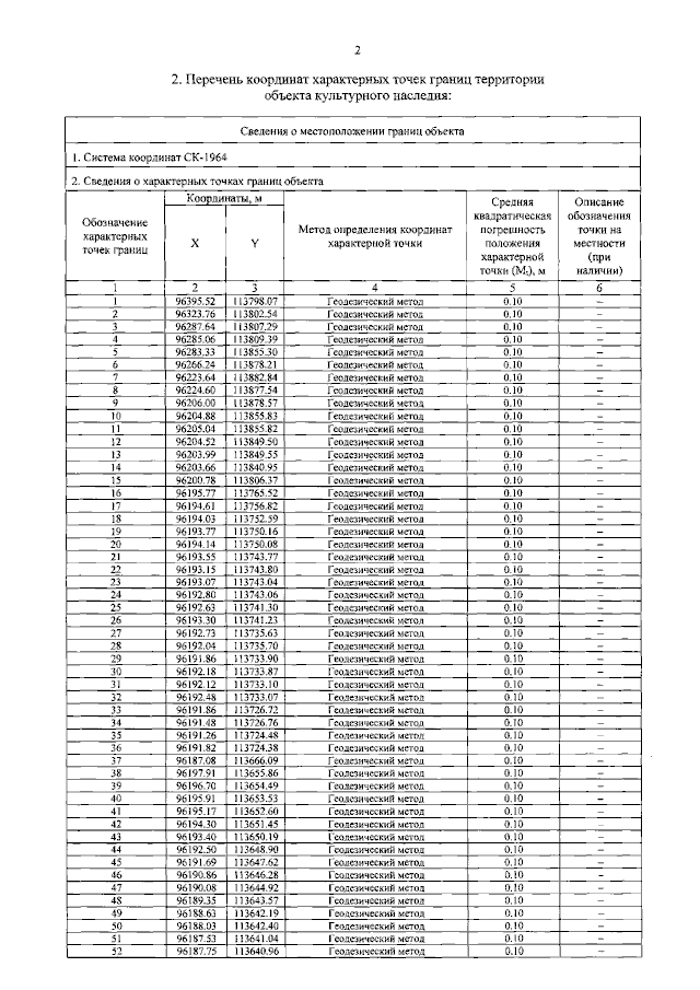
Распоряжение Комитета по государственному контролю, использованию и охране памятников истории и культуры Санкт-Петербурга от 31.05.2023 № 409-рп
"Об утверждении границ и режима использования территории объекта культурного наследия федерального значения "Кронверк Петропавловской крепости"
(Зарегистрирован 01.06.2023 № 35034)
Номер опубликования: 7801202306060015
Дата опубликования: 06.06.2023
Страница №4 из 7:
Увеличить