Официальное опубликование правовых актов
ОФИЦИАЛЬНОЕ ОПУБЛИКОВАНИЕ
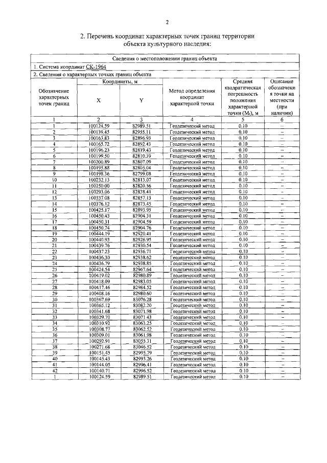
Распоряжение Комитета по государственному контролю, использованию и охране памятников истории и культуры Санкт-Петербурга от 18.05.2023 № 375-рп
"Об утверждении границ и режима использования территории объекта культурного наследия федерального значения "Итальянский дворец (Морское инженерное училище императора Николая II)"
(Зарегистрирован 18.05.2023 № 34932)
Номер опубликования: 7801202305190037
Дата опубликования: 19.05.2023
Страница №4 из 5:
Увеличить