Официальное опубликование правовых актов
ОФИЦИАЛЬНОЕ ОПУБЛИКОВАНИЕ
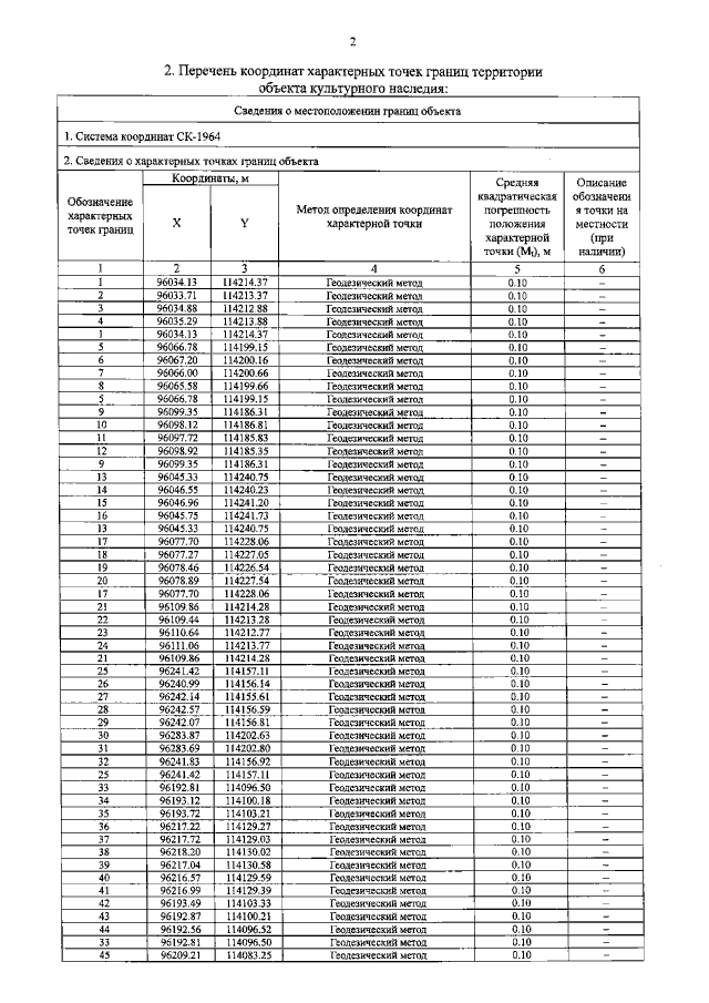
Распоряжение Комитета по государственному контролю, использованию и охране памятников истории и культуры Санкт-Петербурга от 16.05.2023 № 347-рп
"Об утверждении границ и режима использования территории объекта культурного наследия регионального значения "Фонарные столбы с решеткой"
(Зарегистрирован 17.05.2023 № 34906)
Номер опубликования: 7801202305190014
Дата опубликования: 19.05.2023
Страница №4 из 6:
Увеличить