Официальное опубликование правовых актов
ОФИЦИАЛЬНОЕ ОПУБЛИКОВАНИЕ
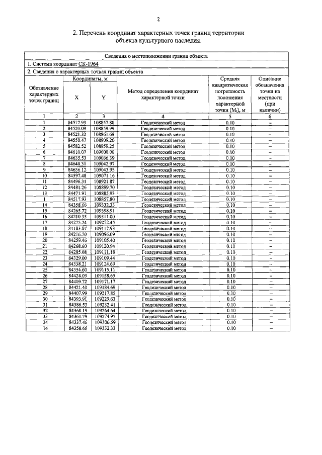
Распоряжение Комитета по государственному контролю, использованию и охране памятников истории и культуры Санкт-Петербурга от 20.04.2023 № 271-рп
"Об утверждении границ и режима использования территории объекта культурного наследия регионального значения "Дача Шереметьева ("Ульянка")"
(Зарегистрирован 21.04.2023 № 34705)
Номер опубликования: 7801202304260016
Дата опубликования: 26.04.2023
Страница №4 из 5:
Увеличить