Официальное опубликование правовых актов
ОФИЦИАЛЬНОЕ ОПУБЛИКОВАНИЕ
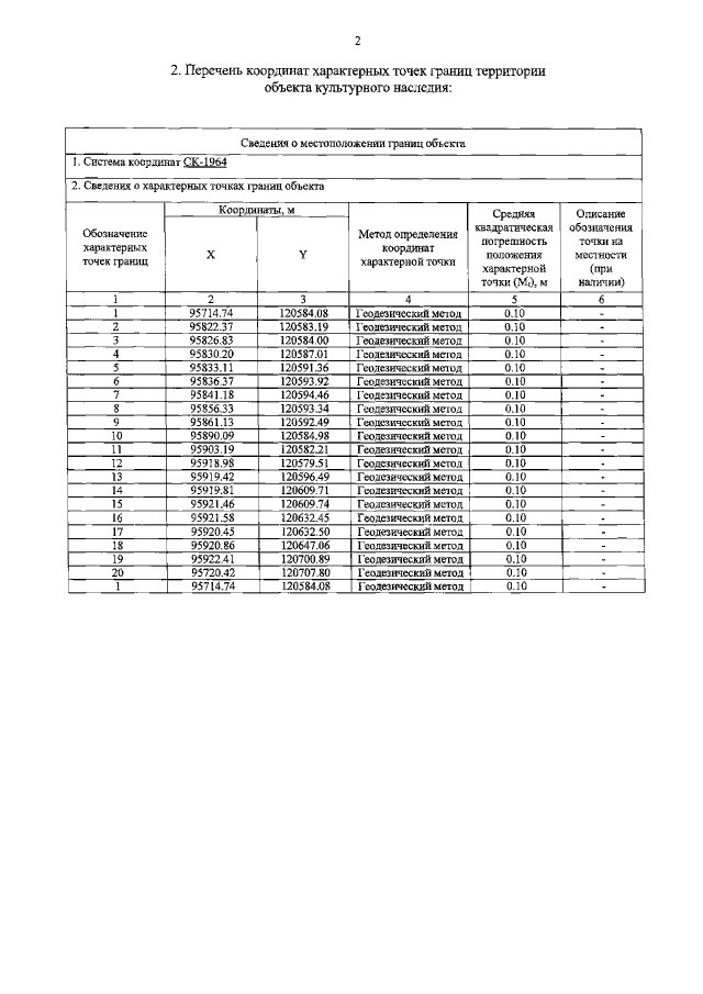
Распоряжение Комитета по государственному контролю, использованию и охране памятников истории и культуры Санкт-Петербурга от 08.02.2023 № 98-рп
"Об утверждении границ и режима использования территории объекта культурного наследия регионального значения "Братская могила жителей Ленинграда, погибших в годы Великой Отечественной войны 1941-1945 г.г."
(Зарегистрирован 10.02.2023 № 34280)
Номер опубликования: 7801202302140012
Дата опубликования: 14.02.2023
Страница №4 из 5:
Увеличить