Официальное опубликование правовых актов
ОФИЦИАЛЬНОЕ ОПУБЛИКОВАНИЕ
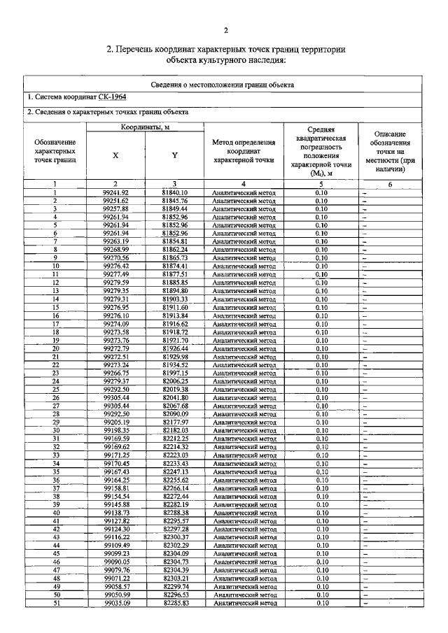
Распоряжение Комитета по государственному контролю, использованию и охране памятников истории и культуры Санкт-Петербурга от 01.02.2023 № 81-рп
"Об утверждении границ и режима использования территории объекта культурного наследия федерального значения "Форт "Кроншлот"
(Зарегистрирован 07.02.2023 № 34240)
Номер опубликования: 7801202302080017
Дата опубликования: 08.02.2023
Страница №4 из 6:
Увеличить