Официальное опубликование правовых актов
ОФИЦИАЛЬНОЕ ОПУБЛИКОВАНИЕ
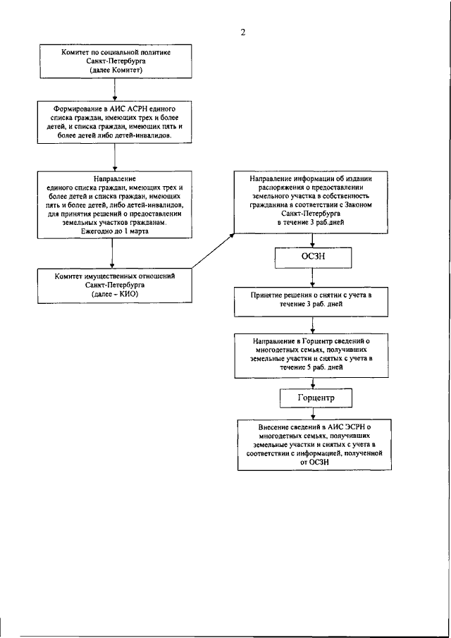
Распоряжение Комитета по социальной политике Санкт-Петербурга от 18.07.2017 № 439-р
"О внесении изменений в распоряжение Комитета по социальной политике Санкт-Петербурга от 17.01.2013 № 06-р"
Номер опубликования: 7801201707210016
Дата опубликования: 21.07.2017
Страница №20 из 30:
Увеличить