Официальное опубликование правовых актов
ОФИЦИАЛЬНОЕ ОПУБЛИКОВАНИЕ
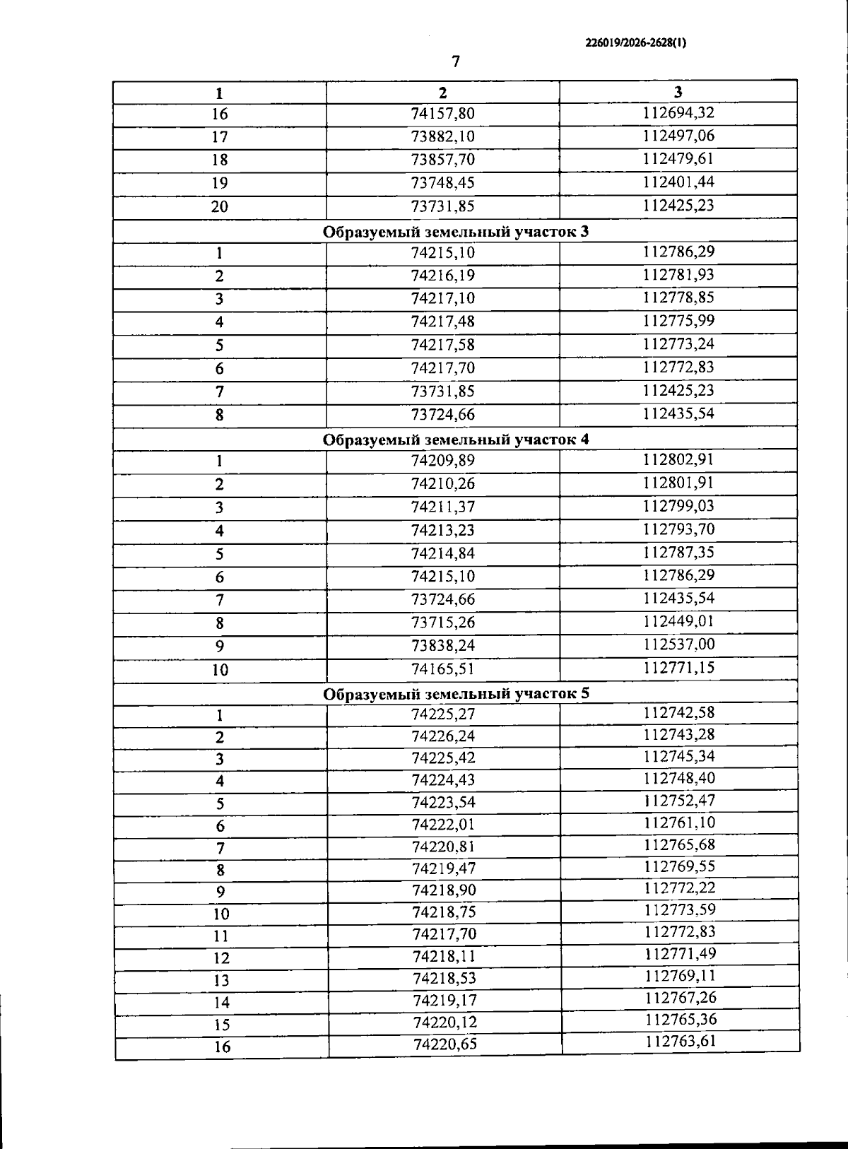
Постановление Правительства Санкт-Петербурга от 18.03.2026 № 153
"Об утверждении проекта планировки с проектом межевания территории для размещения линейного объекта регионального значения "Магистраль №1 от магистрали №2 до Волхонского шоссе"
Номер опубликования: 7800202603250003
Дата опубликования: 25.03.2026
Страница №23 из 28:
Увеличить