Официальное опубликование правовых актов
ОФИЦИАЛЬНОЕ ОПУБЛИКОВАНИЕ
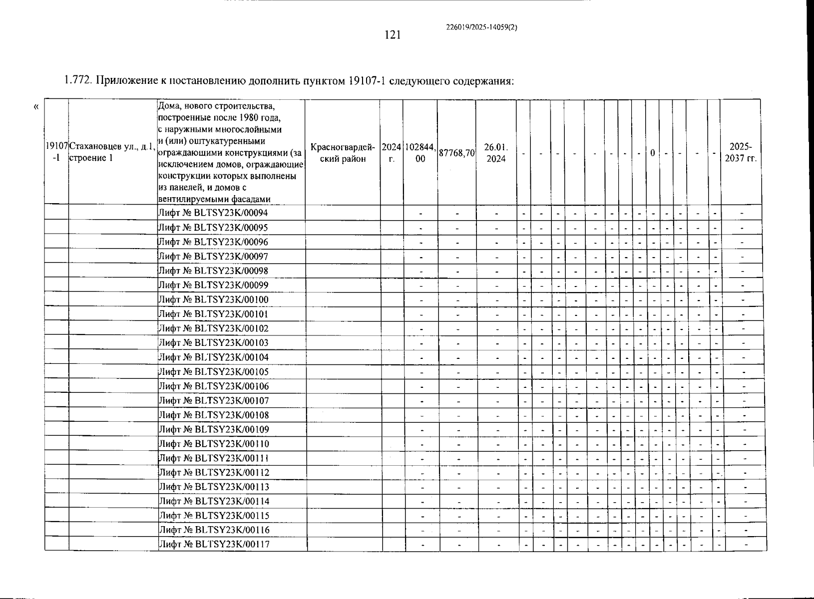
Постановление Правительства Санкт-Петербурга от 05.12.2025 № 897
"О внесении изменений в постановление Правительства Санкт-Петербурга от 18.02.2014 № 84"
Номер опубликования: 7800202512120003
Дата опубликования: 12.12.2025
Страница №121 из 127:
Увеличить