Официальное опубликование правовых актов
ОФИЦИАЛЬНОЕ ОПУБЛИКОВАНИЕ
Закон Санкт-Петербурга от 19.11.2025 № 630-120
"О внесении изменений в Закон Санкт-Петербурга "О бюджете Санкт-Петербурга на 2025 год и на плановый период 2026 и 2027 годов"
(принят Законодательным Собранием Санкт-Петербурга 19.11.2025, подписан Губернатором Санкт-Петербурга 27.11.2025)
Номер опубликования: 7800202511280001
Дата опубликования: 28.11.2025
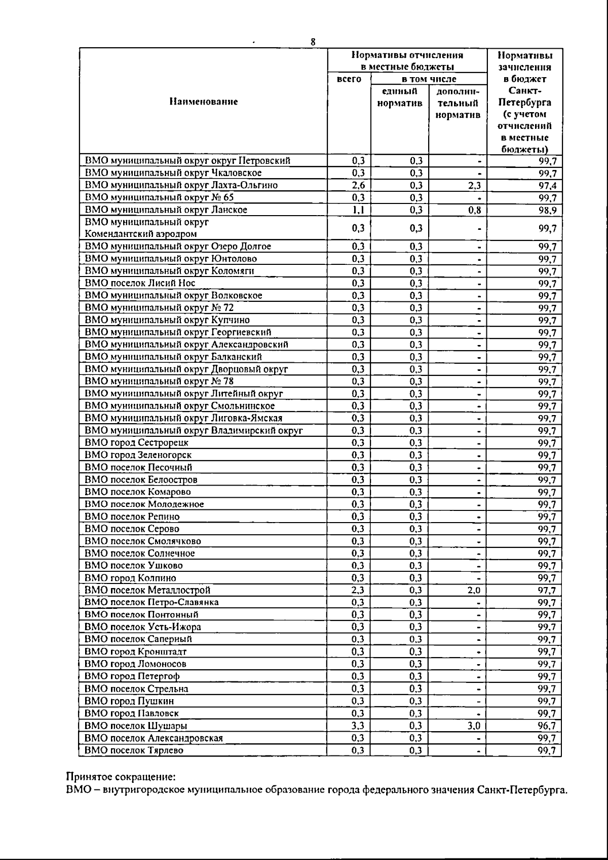
Страница №1339 из 1403:
Увеличить