Официальное опубликование правовых актов
ОФИЦИАЛЬНОЕ ОПУБЛИКОВАНИЕ
Постановление Правительства Санкт-Петербурга от 11.11.2025 № 854
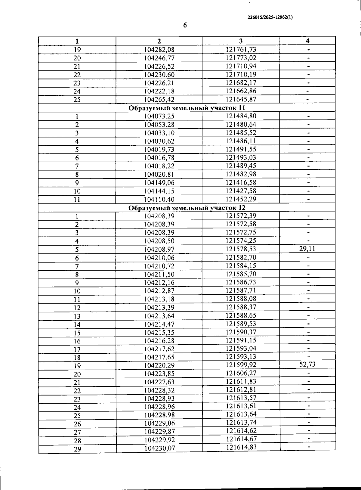
"Об утверждении проекта планировки с проектом межевания территории, ограниченной Муринской дор., Пискарёвским пр., границей территориальной зоны ТУ, естественной границей водного объекта - Муринского ручья, в Красногвардейском районе"
Номер опубликования: 7800202511140006
Дата опубликования: 14.11.2025
Страница №22 из 28:
Увеличить