Официальное опубликование правовых актов
ОФИЦИАЛЬНОЕ ОПУБЛИКОВАНИЕ
Постановление Правительства Санкт-Петербурга от 11.11.2025 № 857
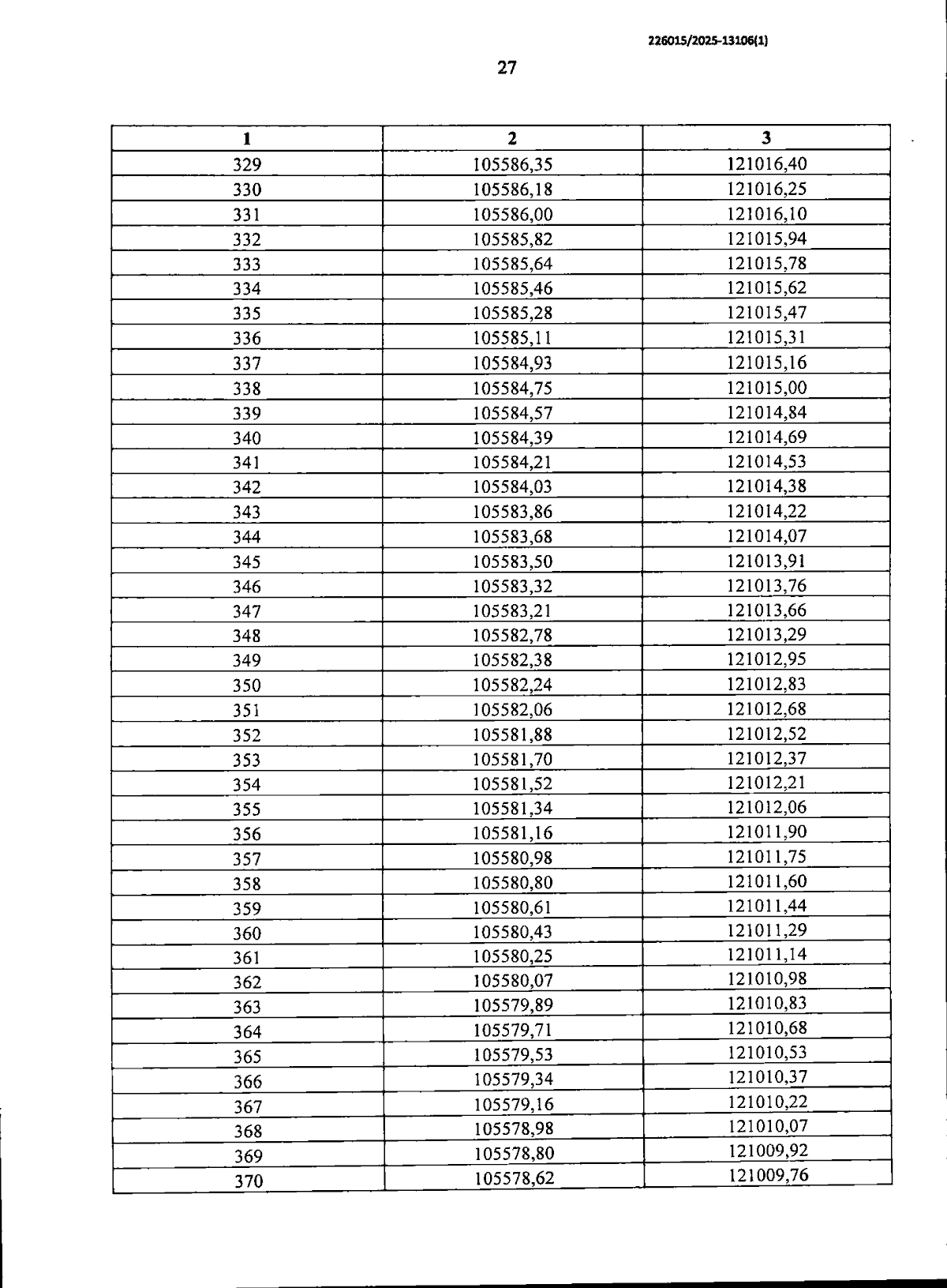
"Об утверждении проекта планировки с проектом межевания территории для размещения линейных объектов регионального значения "улица от Муринской дор. до административных границ Санкт-Петербурга (ул. Новая Муринского городского поселения Ленинградской области)"
Номер опубликования: 7800202511140002
Дата опубликования: 14.11.2025
Страница №46 из 49:
Увеличить