Постановление Правительства Санкт-Петербурга от 23.10.2025 № 810
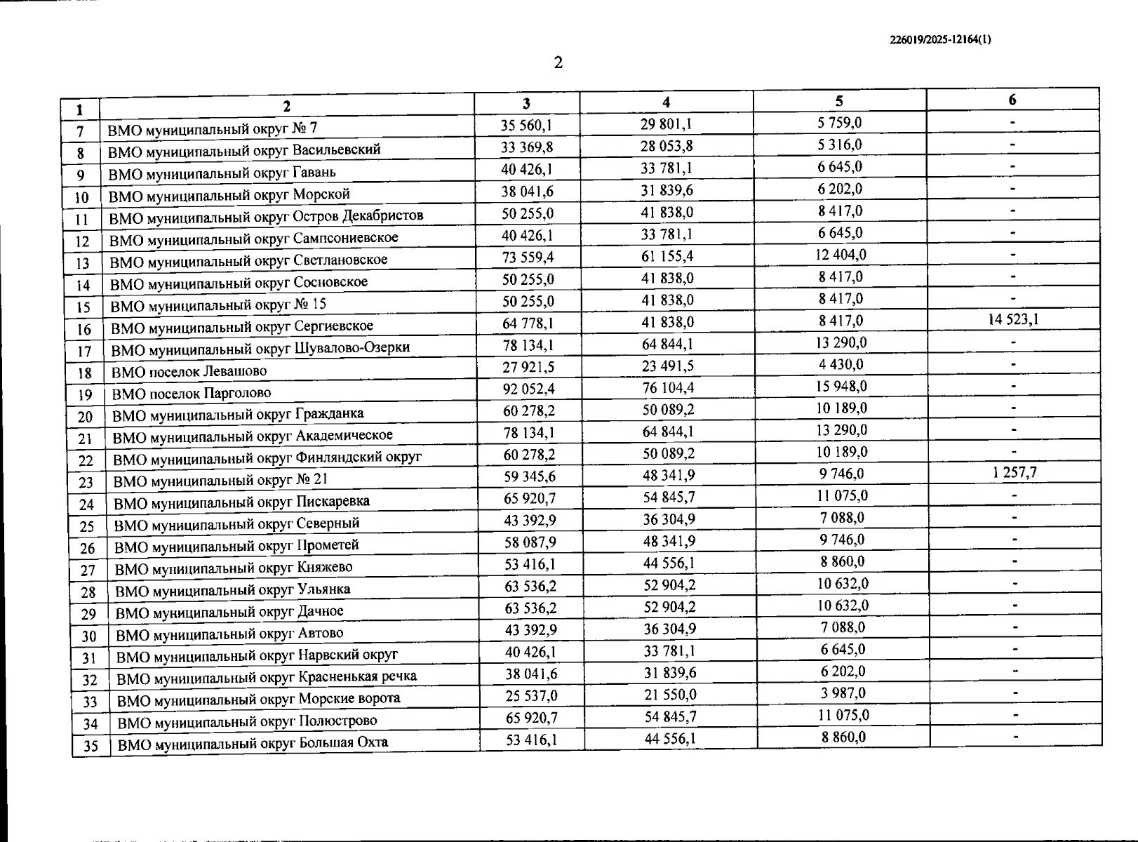
"Об утверждении нормативов формирования расходов на оплату труда депутатов, выборных должностных лиц местного самоуправления внутригородских муниципальных образований города федерального значения Санкт-Петербурга, осуществляющих свои полномочия на постоянной основе, муниципальных служащих и содержание органов местного самоуправления внутригородских муниципальных образований города федерального значения Санкт-Петербурга на 2026 год"
"Об утверждении нормативов формирования расходов на оплату труда депутатов, выборных должностных лиц местного самоуправления внутригородских муниципальных образований города федерального значения Санкт-Петербурга, осуществляющих свои полномочия на постоянной основе, муниципальных служащих и содержание органов местного самоуправления внутригородских муниципальных образований города федерального значения Санкт-Петербурга на 2026 год"
Номер опубликования: 7800202510310006
Дата опубликования:
31.10.2025
