Официальное опубликование правовых актов
ОФИЦИАЛЬНОЕ ОПУБЛИКОВАНИЕ
Постановление Правительства Санкт-Петербурга от 09.09.2025 № 640
"О внесении изменений в постановление Правительства Санкт-Петербурга от 01.03.2011 № 254"
Номер опубликования: 7800202509150004
Дата опубликования: 15.09.2025
Страница №19 из 23:
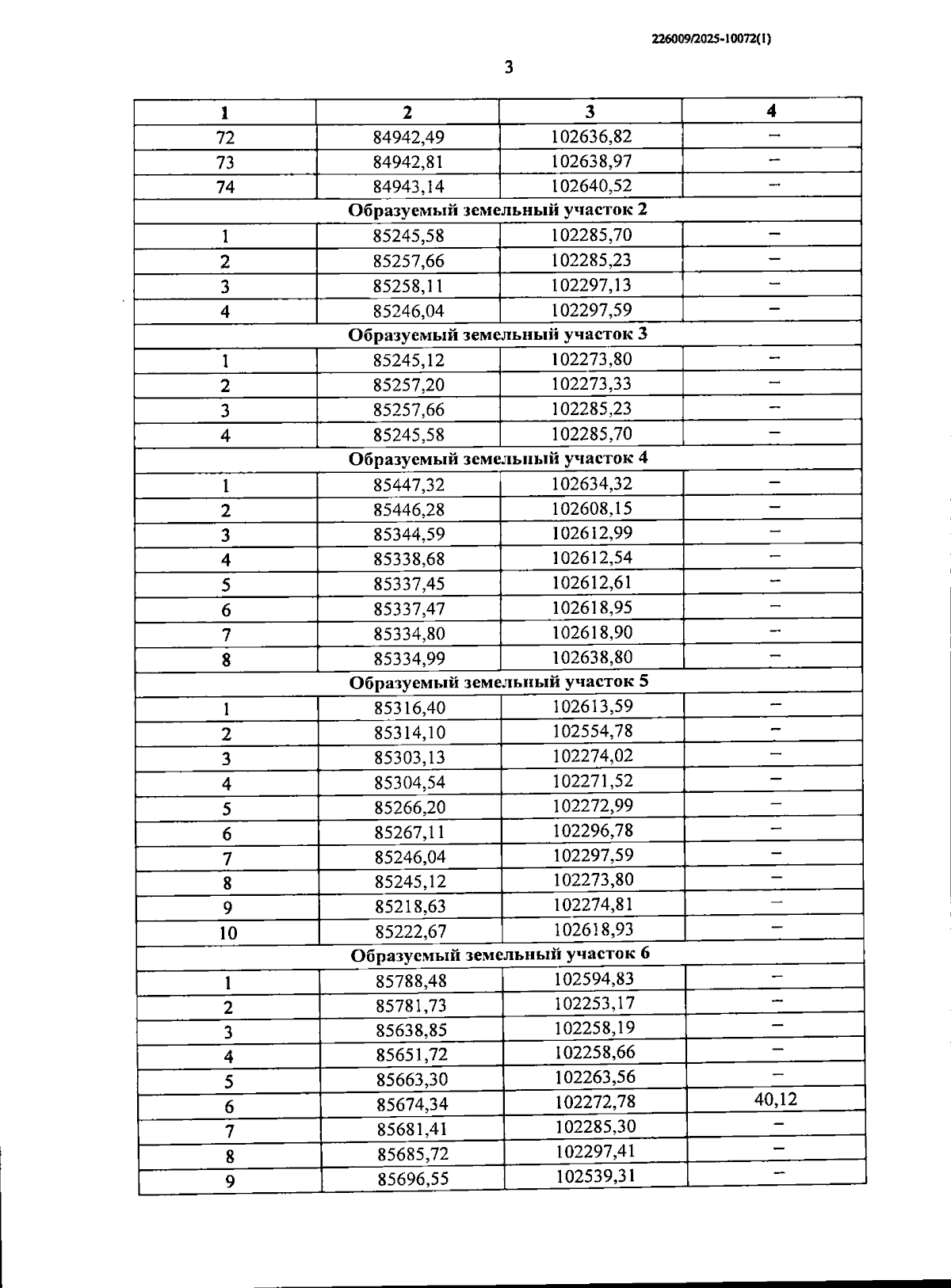
Увеличить