Официальное опубликование правовых актов
ОФИЦИАЛЬНОЕ ОПУБЛИКОВАНИЕ
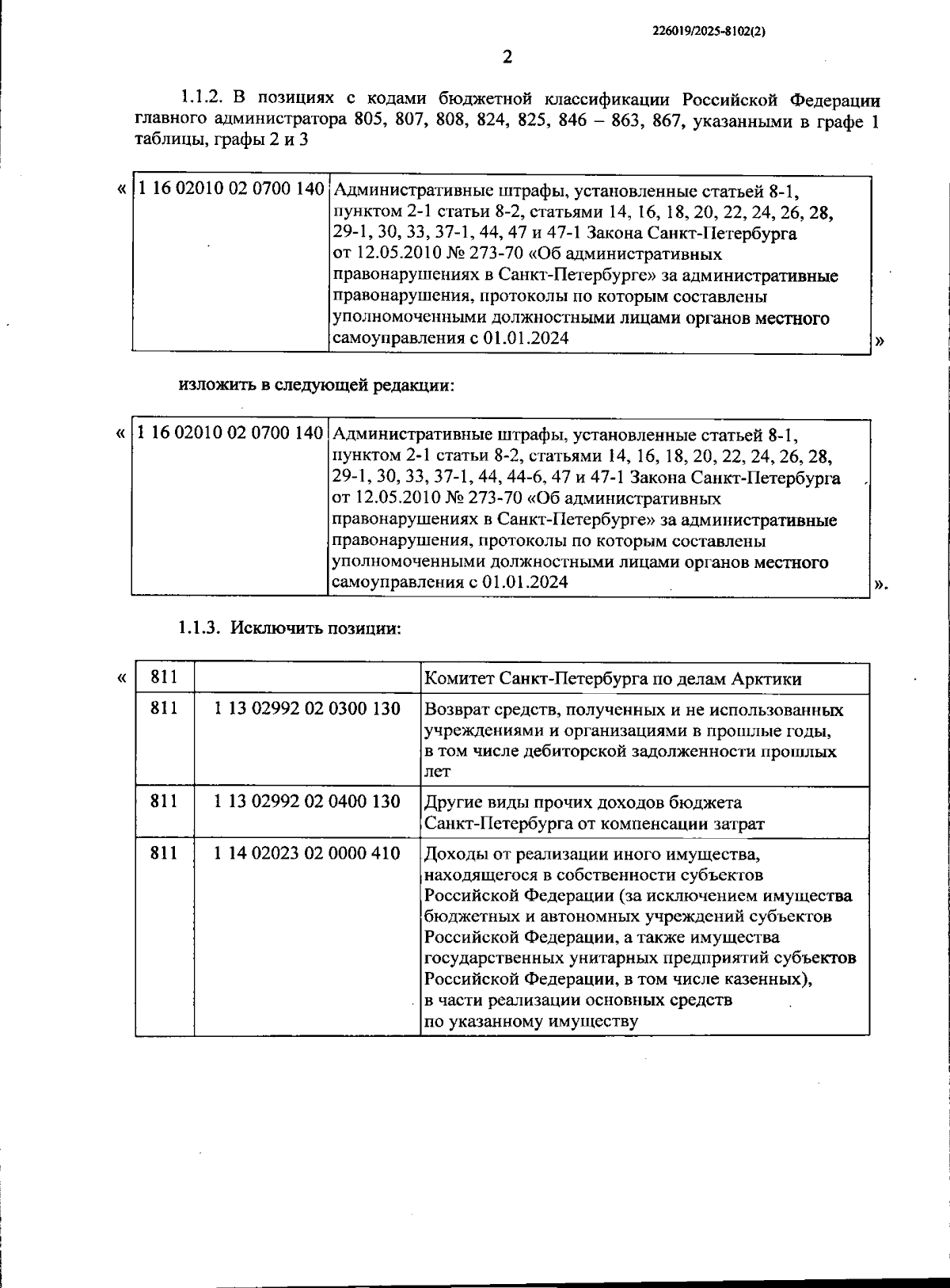
Постановление Правительства Санкт-Петербурга от 04.08.2025 № 552
"О внесении изменений в постановление Правительства Санкт-Петербурга от 01.08.2024 № 663"
Номер опубликования: 7800202508060003
Дата опубликования: 06.08.2025
Страница №2 из 4:
Увеличить