Постановление Правительства Санкт-Петербурга от 22.04.2025 № 257
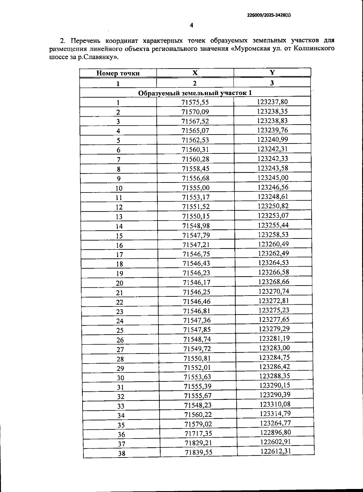
"Об утверждении проекта планировки с проектом межевания территории для размещения линейного объекта регионального значения "Муромская ул. от Колпинского шоссе за р.Славянку"
"Об утверждении проекта планировки с проектом межевания территории для размещения линейного объекта регионального значения "Муромская ул. от Колпинского шоссе за р.Славянку"
Номер опубликования: 7800202504280011
Дата опубликования:
28.04.2025
