Официальное опубликование правовых актов
ОФИЦИАЛЬНОЕ ОПУБЛИКОВАНИЕ
Постановление Правительства Санкт-Петербурга от 22.04.2025 № 257
"Об утверждении проекта планировки с проектом межевания территории для размещения линейного объекта регионального значения "Муромская ул. от Колпинского шоссе за р.Славянку"
Номер опубликования: 7800202504280011
Дата опубликования: 28.04.2025
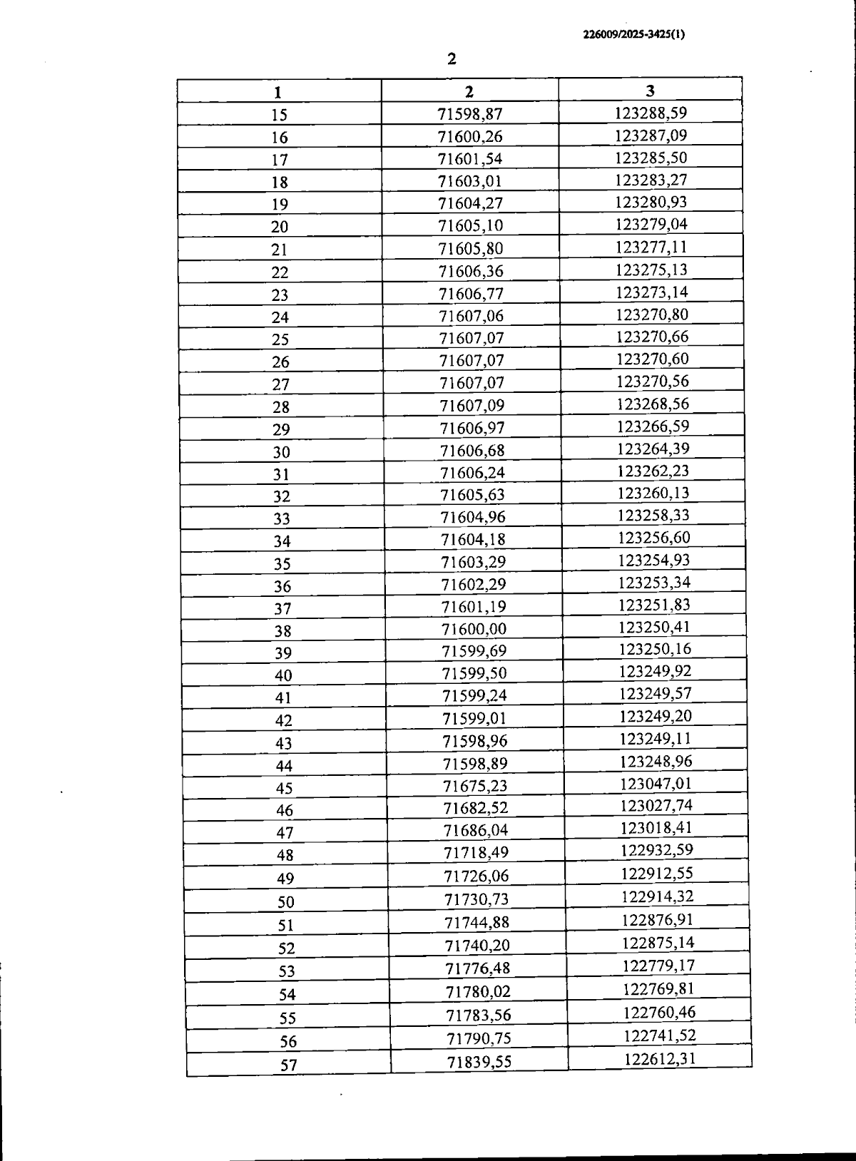
Страница №13 из 34:
Увеличить