Официальное опубликование правовых актов
ОФИЦИАЛЬНОЕ ОПУБЛИКОВАНИЕ
Постановление Правительства Санкт-Петербурга от 02.04.2025 № 181
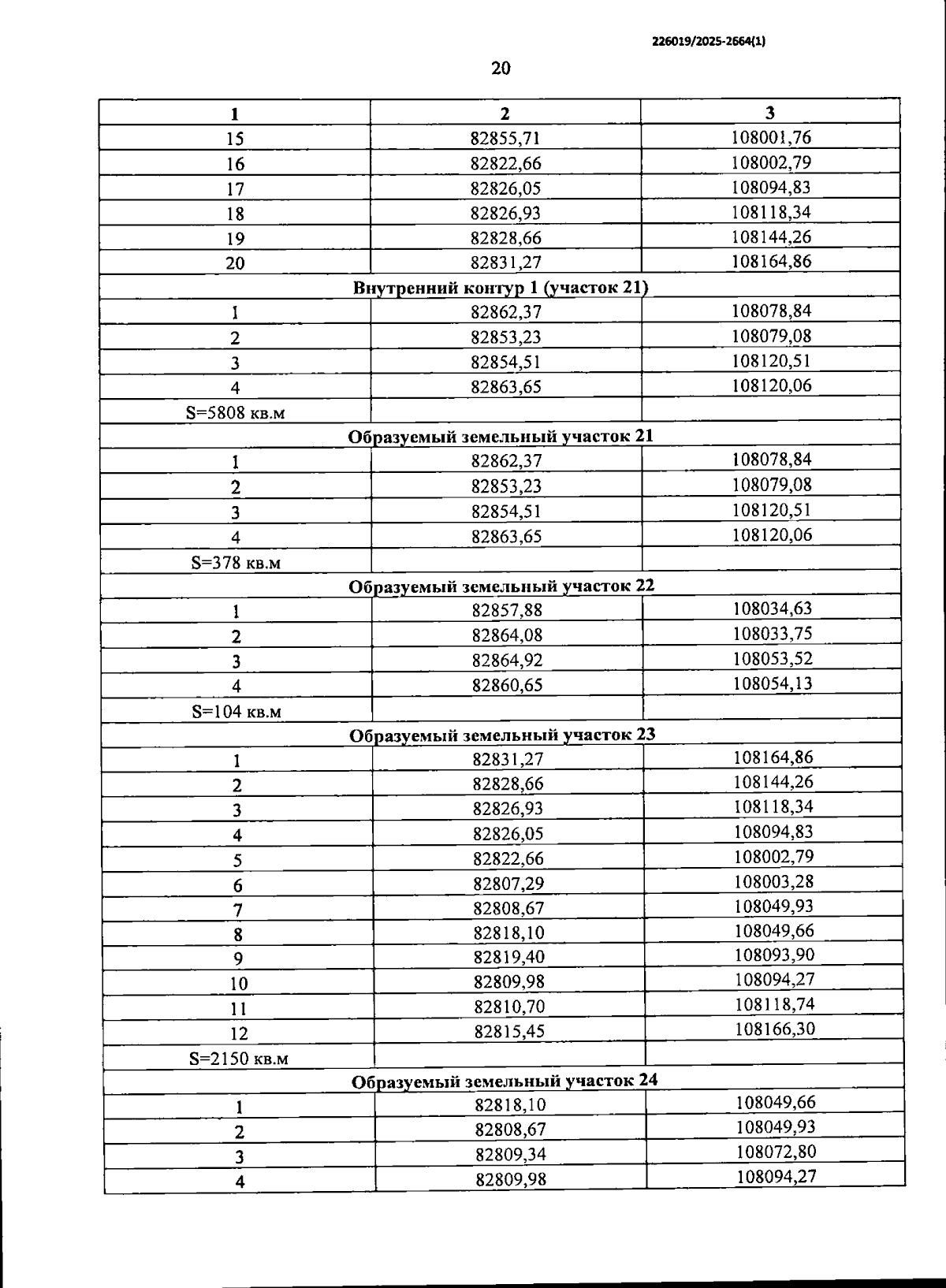
"Об утверждении проекта планировки с проектом межевания территории для размещения линейного объекта регионального значения "Кировско-Выборгская линия метрополитена от станции "Проспект Ветеранов" до станции "Проспект Маршала Жукова"
Номер опубликования: 7800202504090003
Дата опубликования: 09.04.2025
Страница №73 из 102:
Увеличить