Официальное опубликование правовых актов
ОФИЦИАЛЬНОЕ ОПУБЛИКОВАНИЕ
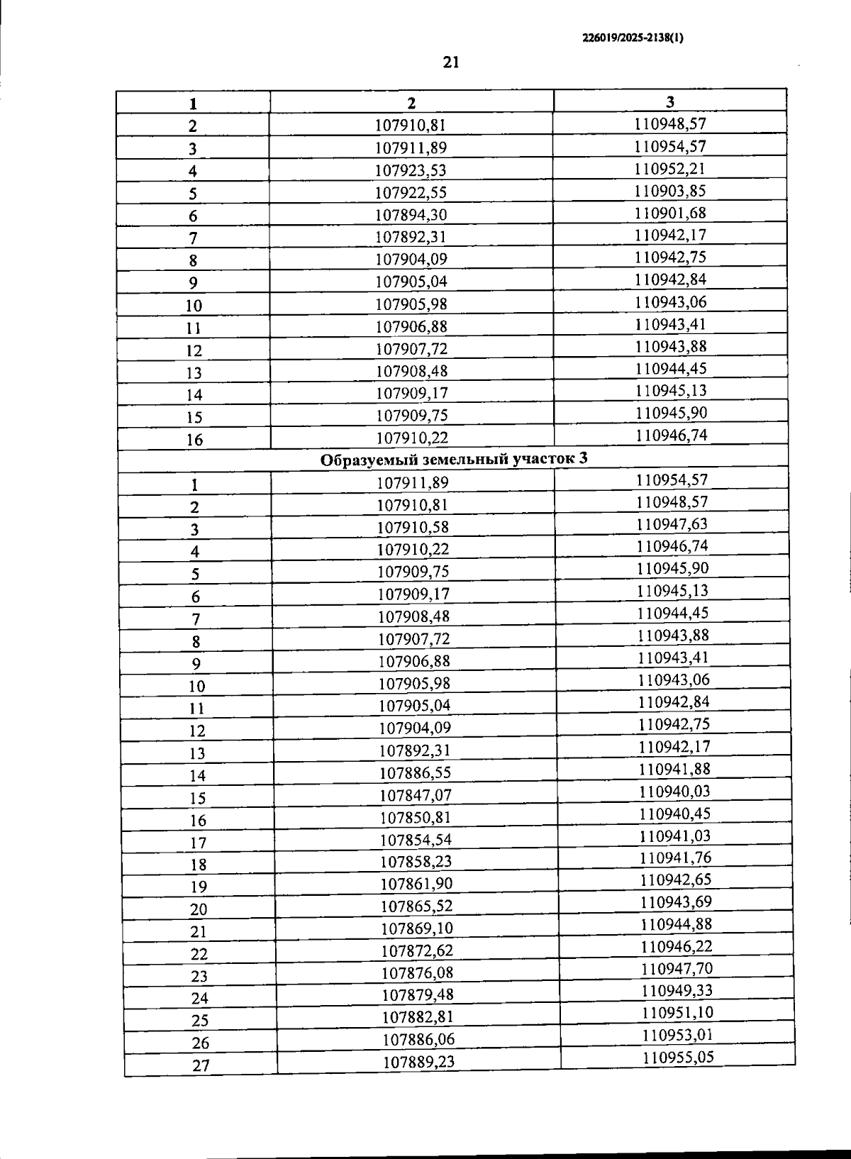
Постановление Правительства Санкт-Петербурга от 12.03.2025 № 133
"Об утверждении проекта планировки с проектом межевания территории для размещения линейного объекта регионального значения "Орлово-Денисовский пр. от Шуваловского пр. до Суздальского шоссе"
Номер опубликования: 7800202503170012
Дата опубликования: 17.03.2025
Страница №50 из 66:
Увеличить