Официальное опубликование правовых актов
ОФИЦИАЛЬНОЕ ОПУБЛИКОВАНИЕ
Постановление Правительства Санкт-Петербурга от 07.03.2025 № 124
"О внесении изменений в постановление Правительства Санкт-Петербурга от 25.04.2019 № 255"
Номер опубликования: 7800202503170010
Дата опубликования: 17.03.2025
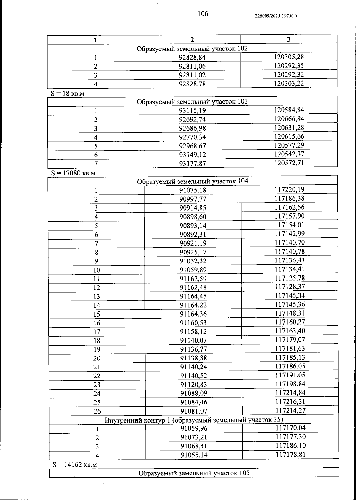
Страница №177 из 245:
Увеличить