Официальное опубликование правовых актов
ОФИЦИАЛЬНОЕ ОПУБЛИКОВАНИЕ
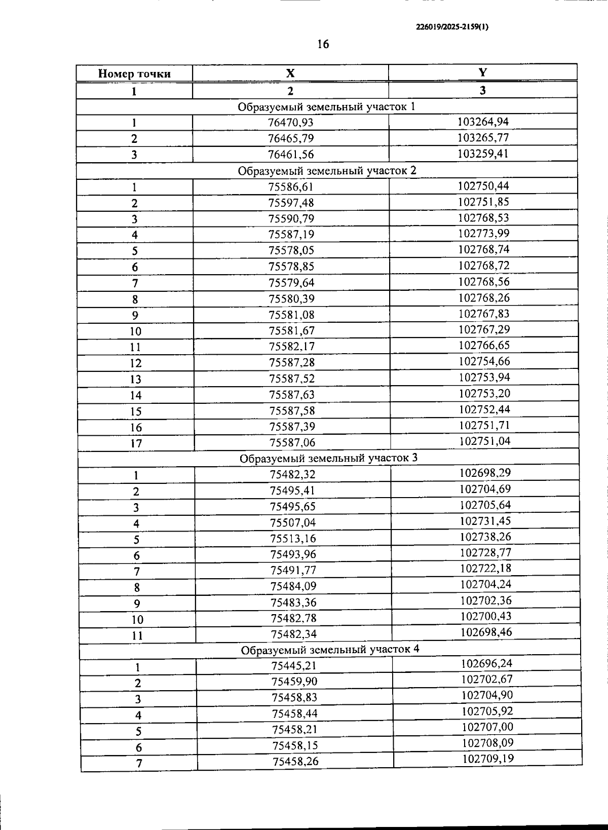
Постановление Правительства Санкт-Петербурга от 12.03.2025 № 135
"Об утверждении проекта планировки с проектом межевания территории для размещения линейного объекта регионального значения "Красносельское шоссе от Гореловского путепровода до административной границы Санкт-Петербурга"
Номер опубликования: 7800202503170001
Дата опубликования: 17.03.2025
Страница №41 из 54:
Увеличить