Официальное опубликование правовых актов
ОФИЦИАЛЬНОЕ ОПУБЛИКОВАНИЕ
Постановление Правительства Санкт-Петербурга от 03.12.2024 № 1083
"О внесении изменений в постановление Правительства Санкт-Петербурга от 27.04.2010 № 518"
Номер опубликования: 7800202412090002
Дата опубликования: 09.12.2024
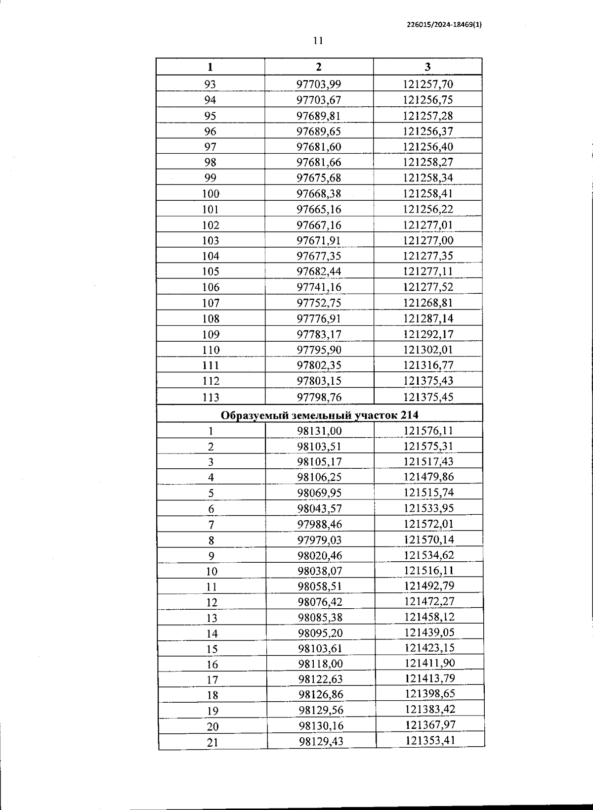
Страница №30 из 36:
Увеличить