Официальное опубликование правовых актов
ОФИЦИАЛЬНОЕ ОПУБЛИКОВАНИЕ
Постановление Правительства Санкт-Петербурга от 22.10.2024 № 912
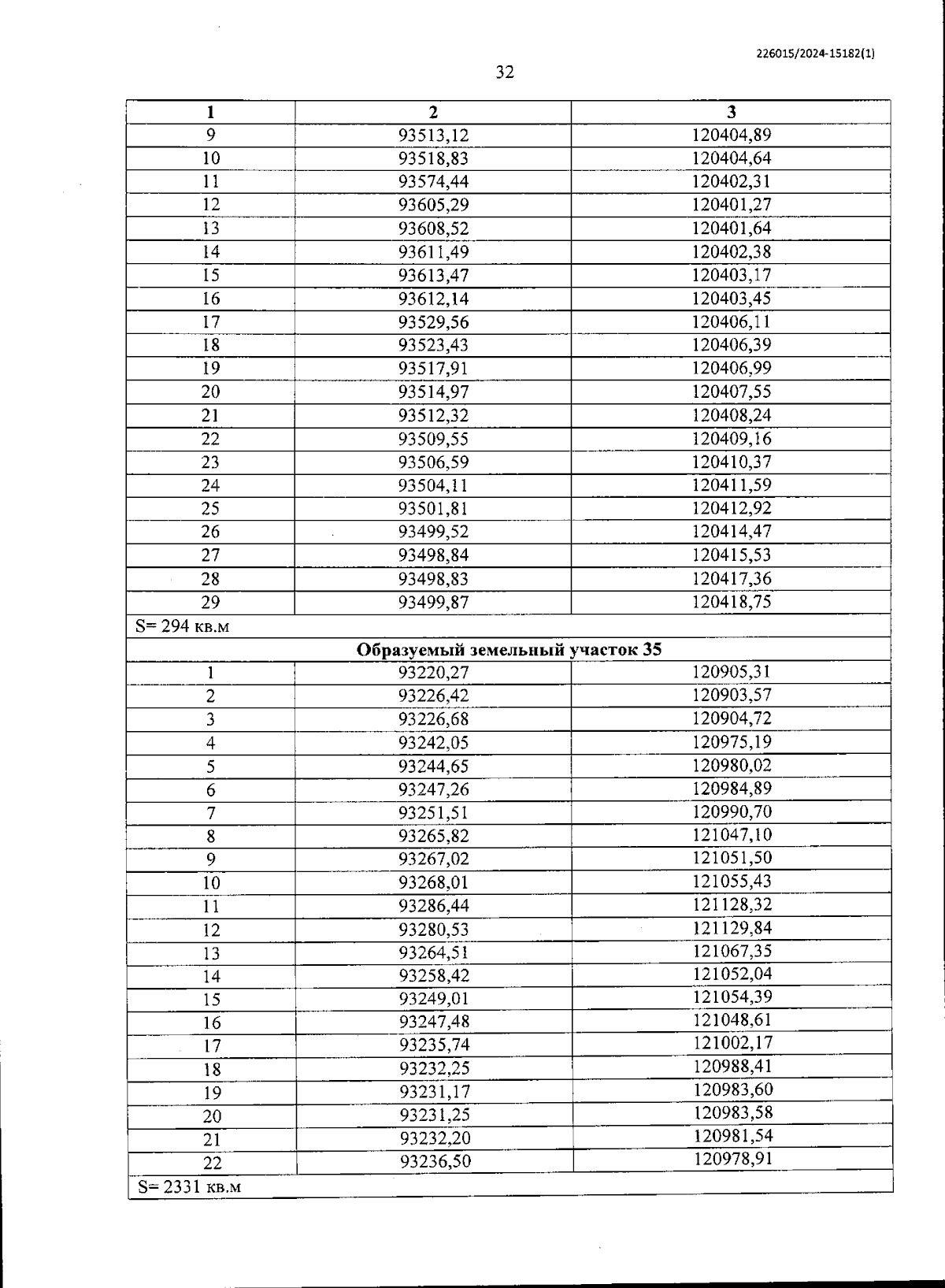
"Об утверждении проекта планировки с проектом межевания территории для размещения линейного объекта регионального значения "Транспортная развязка Широтной магистрали скоростного движения на пересечении с Союзным пр. и пр.Энергетиков на участке от ул.Коллонтай до р.Б.Охты со строительством путепровода через железнодорожные пути"
Номер опубликования: 7800202410280003
Дата опубликования: 28.10.2024
Страница №62 из 94:
Увеличить