Официальное опубликование правовых актов
ОФИЦИАЛЬНОЕ ОПУБЛИКОВАНИЕ
Постановление Правительства Санкт-Петербурга от 20.08.2024 № 722
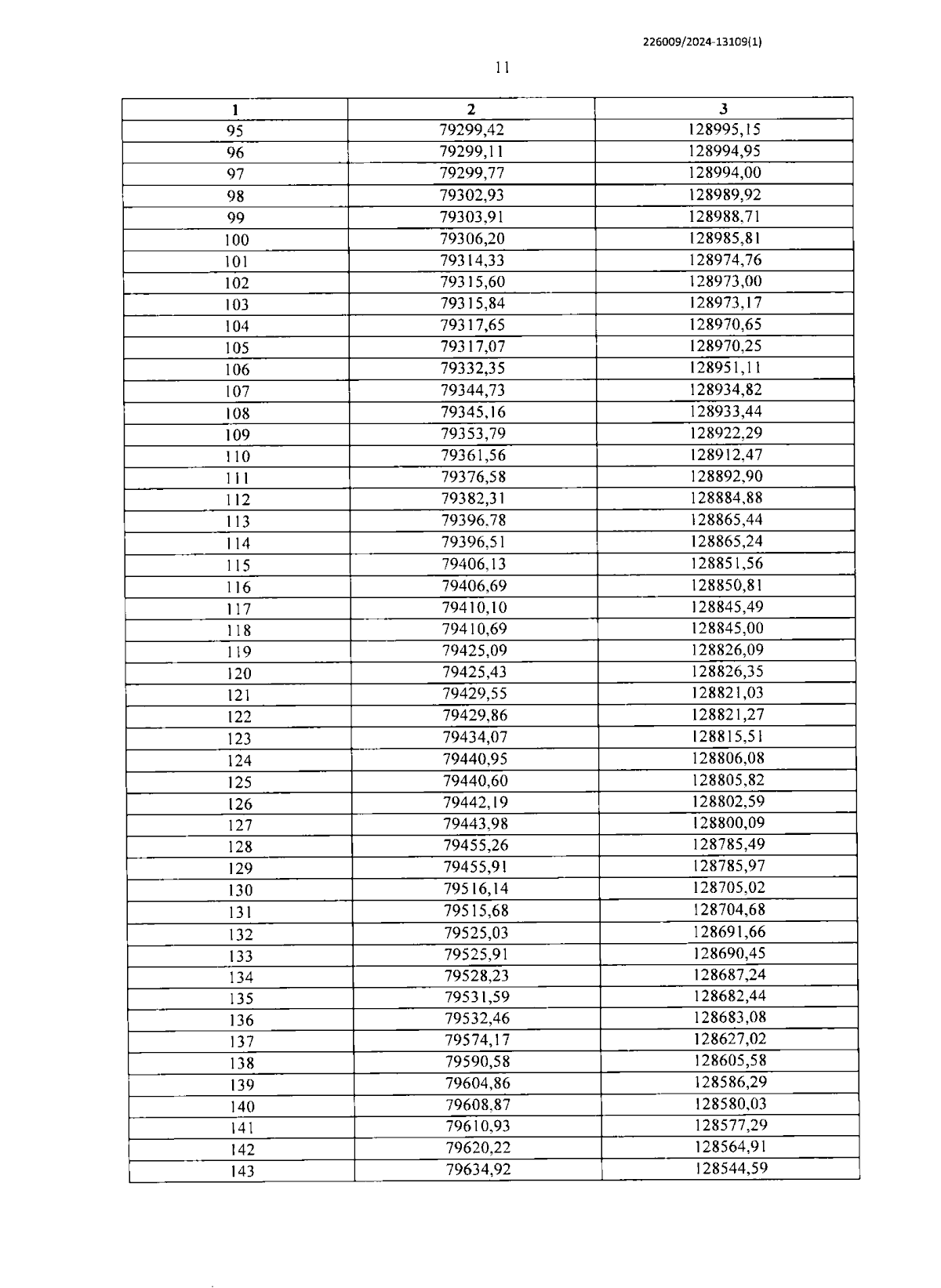
"Об утверждении проекта планировки с проектом межевания территории для размещения линейного объекта регионального значения "Станционная ул. в пос. Усть-Ижора и пос. Металлострой"
Номер опубликования: 7800202408260008
Дата опубликования: 26.08.2024
Страница №13 из 53:
Увеличить