Официальное опубликование правовых актов
ОФИЦИАЛЬНОЕ ОПУБЛИКОВАНИЕ
Постановление Правительства Санкт-Петербурга от 20.08.2024 № 724
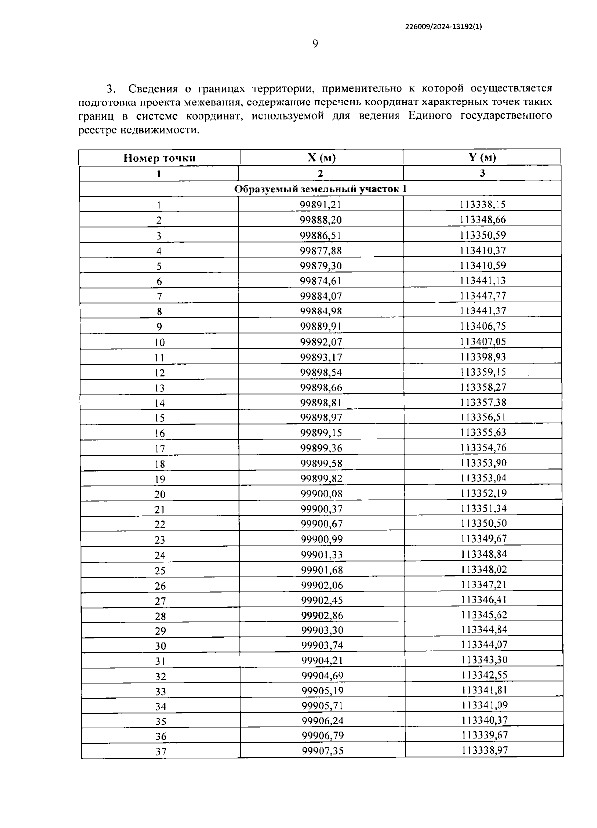
"Об утверждении проекта планировки с проектом межевания территории для размещения линейного объекта регионального значения "Лисичанская ул. от Торжковской ул. до Вазаского пер."
Номер опубликования: 7800202408260001
Дата опубликования: 26.08.2024
Страница №26 из 32:
Увеличить