Официальное опубликование правовых актов
ОФИЦИАЛЬНОЕ ОПУБЛИКОВАНИЕ
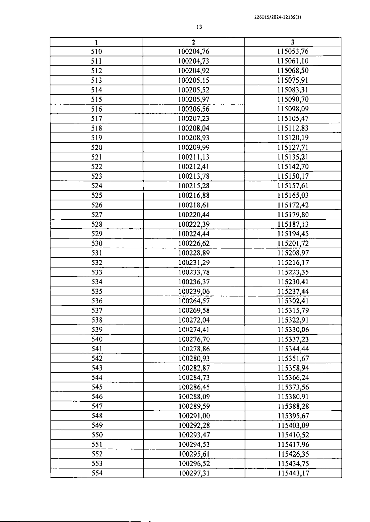
Постановление Правительства Санкт-Петербурга от 01.08.2024 № 664
"Об утверждении проекта планировки с проектом межевания территории для размещения линейного объекта регионального значения "III очередь дублера тоннельного канализационного коллектора района площадь Мужества от узла шахт № 122Б, 122А Выборгского тоннельного канализационного коллектора до шахты № 413 главного тоннельного канализационного коллектора", расположенной частично в границах территории исторического поселения федерального значения город Санкт-Петербург"
Номер опубликования: 7800202408080002
Дата опубликования: 08.08.2024
Страница №31 из 61:
Увеличить