Официальное опубликование правовых актов
ОФИЦИАЛЬНОЕ ОПУБЛИКОВАНИЕ
Постановление Правительства Санкт-Петербурга от 16.07.2024 № 597
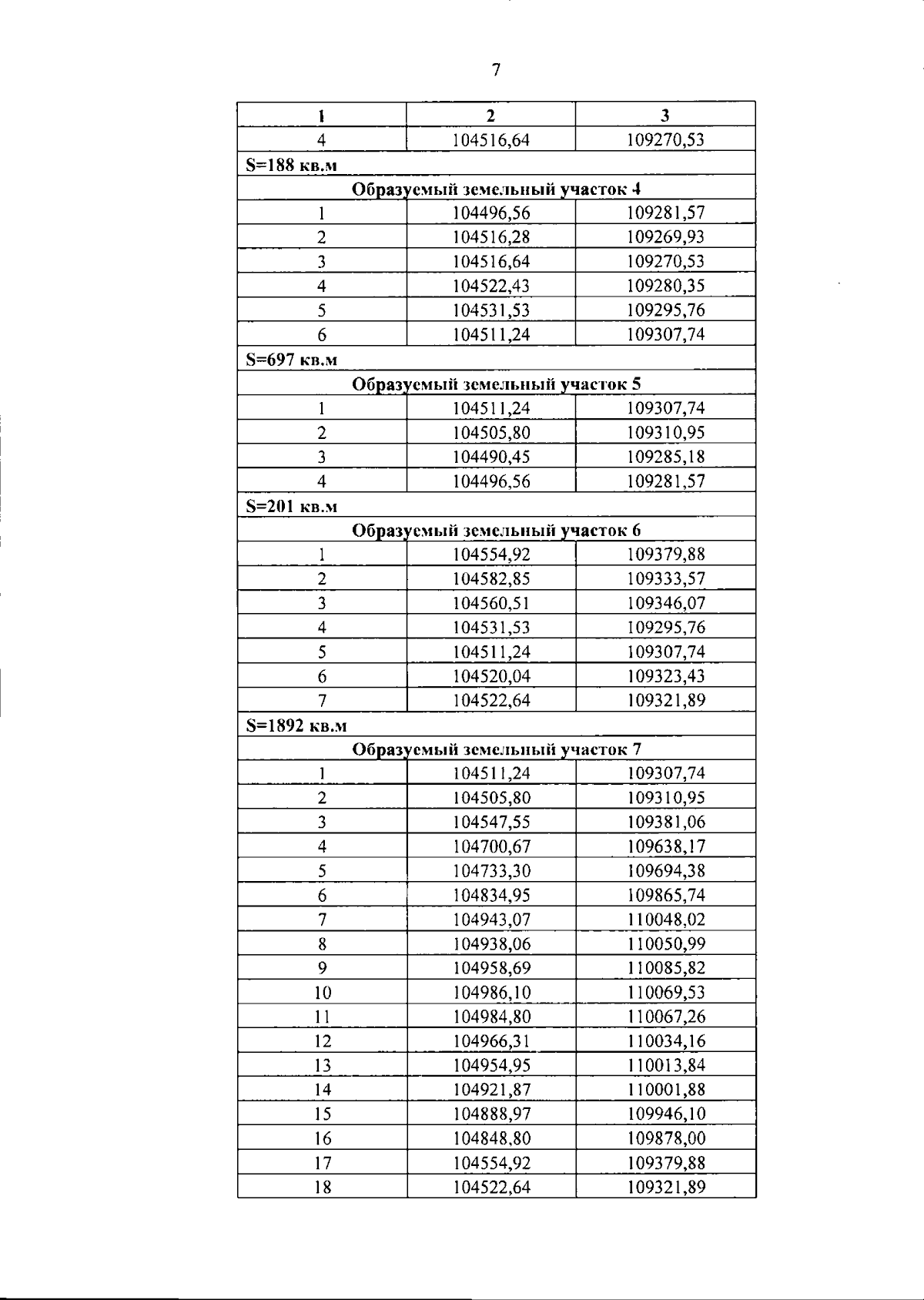
"Об утверждении проекта планировки с проектом межевания территории для размещения линейного объекта регионального значения "Шуваловский пр. от Комендантского пр. до Парашютной ул."
Номер опубликования: 7800202407190005
Дата опубликования: 19.07.2024
Страница №25 из 35:
Увеличить