Официальное опубликование правовых актов
ОФИЦИАЛЬНОЕ ОПУБЛИКОВАНИЕ
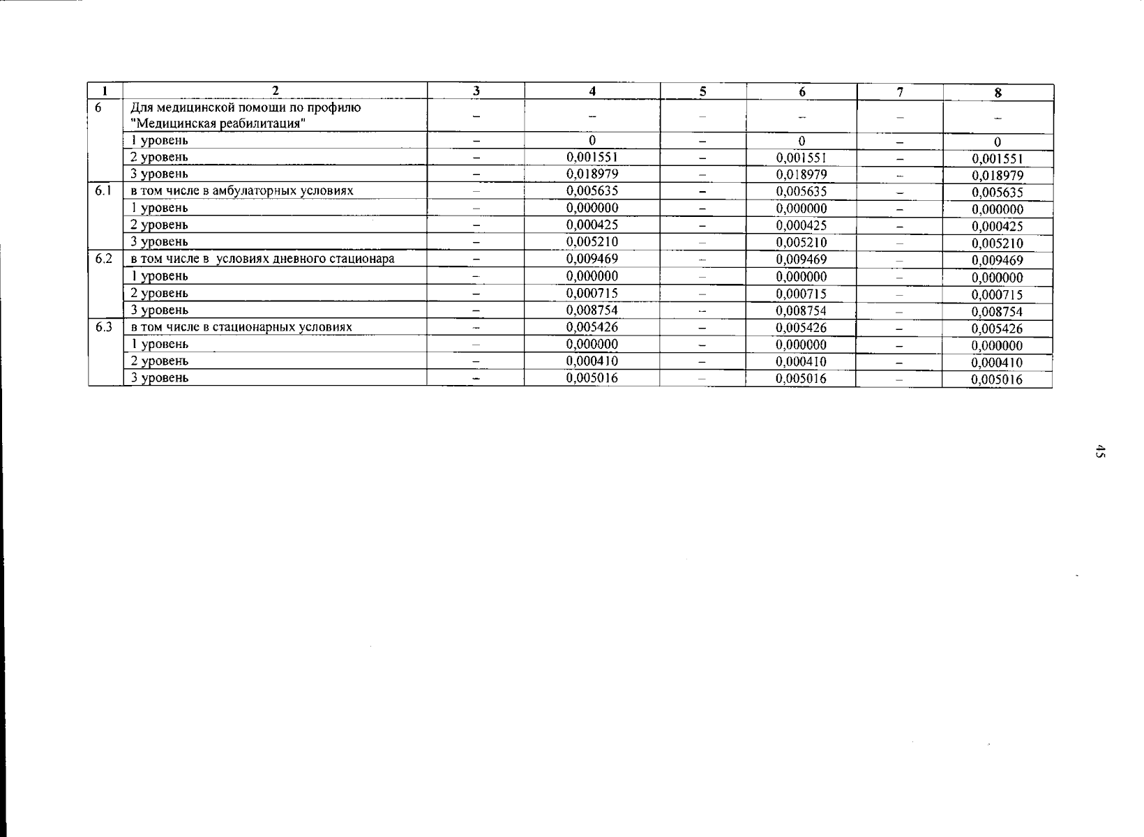
Закон Санкт-Петербурга от 19.06.2024 № 407-88
"О внесении изменений в Закон Санкт-Петербурга "О Территориальной программе государственных гарантий бесплатного оказания гражданам медицинской помощи в Санкт-Петербурге на 2024 год и на плановый период 2025 и 2026 годов" (принят Законодательным Собранием Санкт-Петербурга 19.06.2024, подписан Губернатором Санкт-Петербурга 02.07.2024)
Номер опубликования: 7800202407030003
Дата опубликования: 03.07.2024
Страница №47 из 133:
Увеличить