Официальное опубликование правовых актов
ОФИЦИАЛЬНОЕ ОПУБЛИКОВАНИЕ
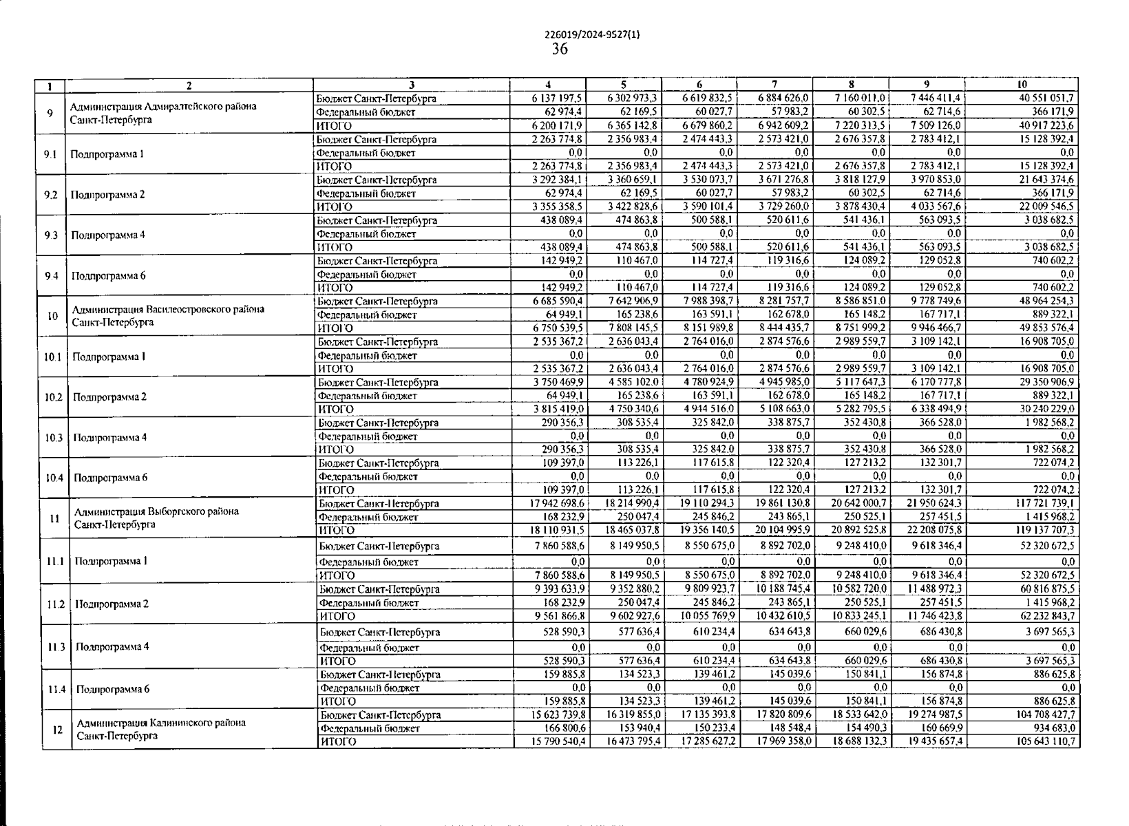
Постановление Правительства Санкт-Петербурга от 21.06.2024 № 498
"О внесении изменений в постановление Правительства Санкт-Петербурга от 04.06.2014 № 453"
Номер опубликования: 7800202406270007
Дата опубликования: 27.06.2024
Страница №37 из 168:
Увеличить