Официальное опубликование правовых актов
ОФИЦИАЛЬНОЕ ОПУБЛИКОВАНИЕ
Постановление Правительства Санкт-Петербурга от 25.04.2024 № 304
"О предоставлении в 2024 году субсидий в целях финансового обеспечения затрат для реализации основных общеобразовательных программ и дополнительных общеобразовательных программ частным образовательным организациям"
Номер опубликования: 7800202405030004
Дата опубликования: 03.05.2024
Страница №16 из 59:
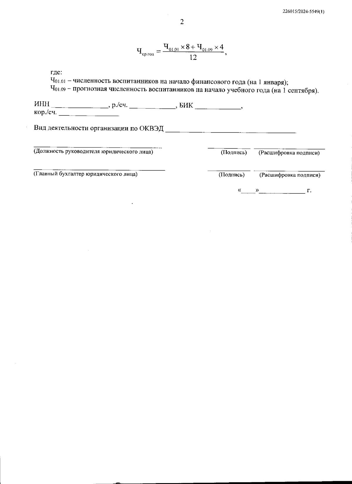
Увеличить