Официальное опубликование правовых актов
ОФИЦИАЛЬНОЕ ОПУБЛИКОВАНИЕ
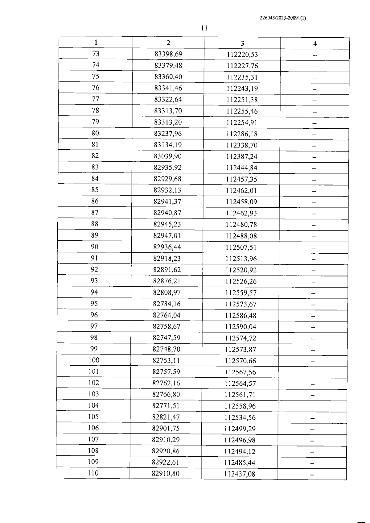
Постановление Правительства Санкт-Петербурга от 28.12.2023 № 1484
"Об утверждении проекта планировки с проектом межевания территории для размещения линейного объекта регионального значения "Проектируемая улица от Кубинской ул. до Предпортовой ул."
Номер опубликования: 7800202312310003
Дата опубликования: 31.12.2023
Страница №25 из 29:
Увеличить