Официальное опубликование правовых актов
ОФИЦИАЛЬНОЕ ОПУБЛИКОВАНИЕ
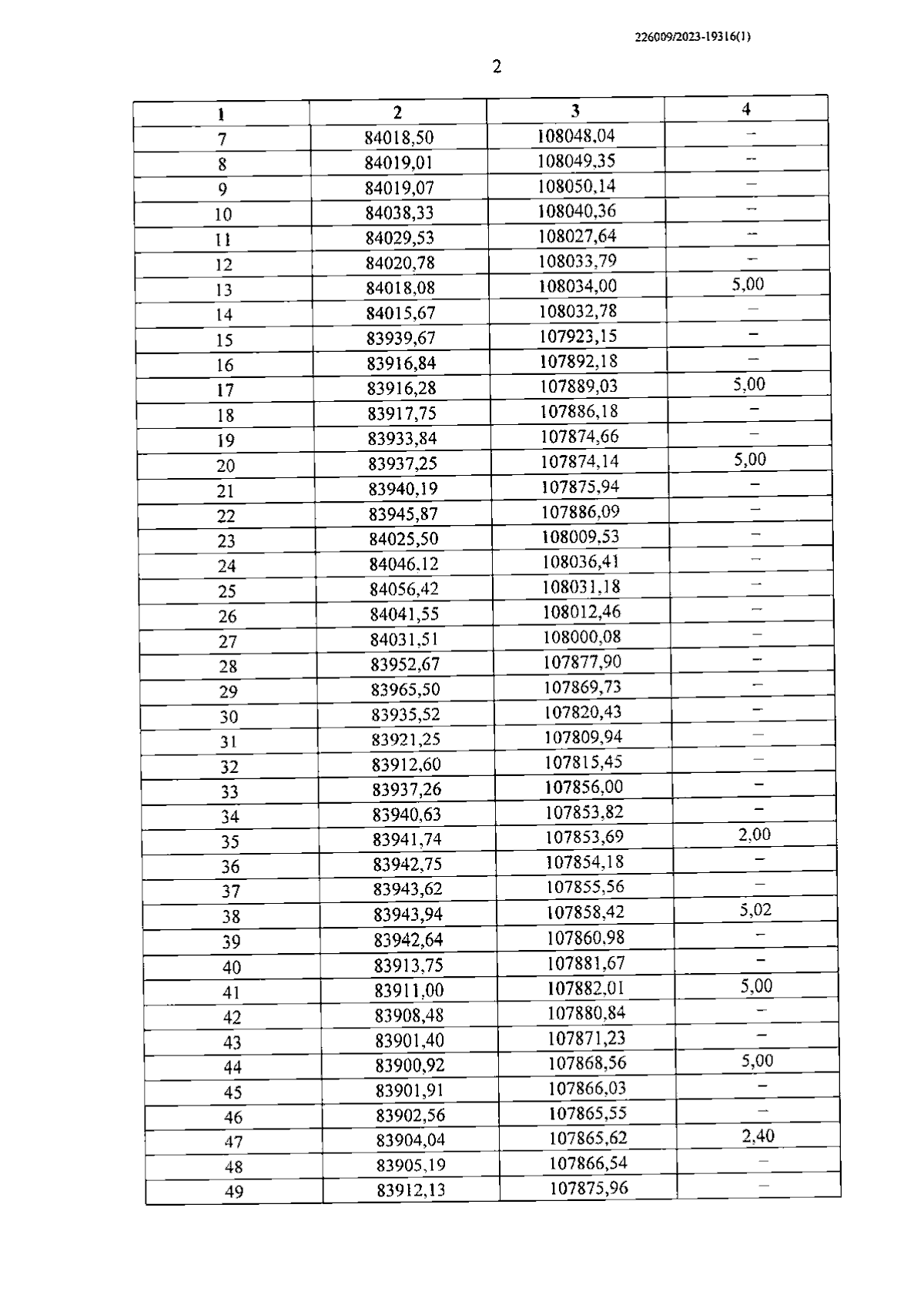
Постановление Правительства Санкт-Петербурга от 21.12.2023 № 1394
"О внесении изменений в постановление Правительства Санкт-Петербурга от 29.06.2010 №869"
Номер опубликования: 7800202312290001
Дата опубликования: 29.12.2023
Страница №22 из 39:
Увеличить